Đề thi giữa học kì 1 (HK1) lớp 9 môn Toán năm 2023 2024 trường THCS Yên Phong Nam Định

  • Đề giữa HK1 Toán 9

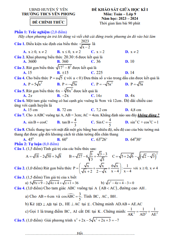
Đề thi giữa học kì 1 (HK1) lớp 9 môn Toán năm 2023 2024 trường THCS Yên Phong Nam Định

Xin chào quý thầy cô và các em học sinh lớp 9! Hôm nay, Sytu xin giới thiệu đến các bạn đề khảo sát chất lượng giữa học kì 1 môn Toán lớp 9 năm học 2023 – 2024 tại trường THCS Yên Phong, huyện Ý Yên, tỉnh Nam Định.

Đề thi sẽ bao gồm 20% câu hỏi trắc nghiệm (tức là 8 câu) và 80% câu hỏi tự luận (tức là 5 câu), thời gian làm bài sẽ là 90 phút.

Dưới đây là một số câu hỏi trích dẫn từ đề thi giữa học kì 1 Toán lớp 9 năm 2023 – 2024 trường THCS Yên Phong – Nam Định:

– “Chiếc thang tạo với mặt đất một góc bằng bao nhiêu độ, nếu độ cao của bức tường mà thang đạt được gấp đôi khoảng cách từ chân tường đến chân thang?”

– “Cho biểu thức P = a^5 (với a

– “Một tam giác vuông có hai cạnh góc vuông là 9cm và 12cm. Độ dài chiều cao ứng với cạnh huyền là?”

Mong rằng các em sẽ làm bài thi tốt và đạt kết quả cao! Chúc quý thầy cô và các em học sinh một kỳ thi suôn sẻ và thành công!

Đánh giá bài viết cho thầy/cô vui 

0 / 5 0

Your page rank:

Avatar of Phan Quang
       

Về tác giả : Phan Quang

Giáo viên Toán học xuất sắc, sinh năm 1985 tại Hà Nội. Tốt nghiệp Đại học Sư phạm Hà Nội với bằng cử nhân Toán học, thầy có hơn 10 năm kinh nghiệm giảng dạy cấp 2 và ôn thi vào 10. Năm 2024, thầy sáng lập website daygioi.com – nền tảng giáo dục trực tuyến miễn phí, cung cấp bài giảng video, bài tập tương tác và tài liệu ôn tập cho hàng ngàn học sinh Việt Nam. Với phong cách dạy gần gũi, sáng tạo, thầy luôn khơi dậy niềm đam mê Toán học qua ví dụ đời thường. Được phụ huynh và học sinh yêu mến, thầy là nguồn cảm hứng cho thế hệ giáo viên trẻ.

       

Xem nhiều bài của tác giả : Phan Quang