Đề thi giữa học kì 1 (HK1) lớp 9 môn Toán năm 2023 2024 phòng GD ĐT Trực Ninh Nam Định

  • Đề giữa HK1 Toán 9

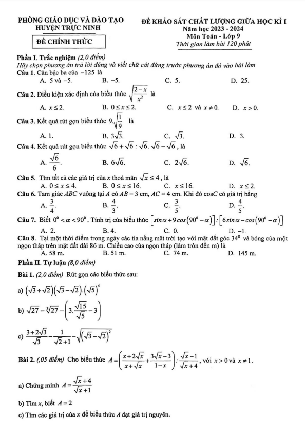
Đề thi giữa học kì 1 (HK1) lớp 9 môn Toán năm 2023-2024

Chào các thầy cô giáo và các em học sinh lớp 9! Đây là đề khảo sát chất lượng giữa học kì 1 môn Toán lớp 9 năm học 2023-2024 của phòng Giáo dục và Đào tạo huyện Trực Ninh, tỉnh Nam Định. Đề thi bao gồm 02 trang, với 20% câu hỏi trắc nghiệm (tức là 08 câu) và 80% câu hỏi tự luận (tức là 04 câu). Thời gian làm bài cho đề thi này là 120 phút.

Dưới đây là một số câu hỏi trích dẫn từ Đề giữa học kì 1 Toán lớp 9 năm 2023-2024 của phòng GD&ĐT Trực Ninh – Nam Định:

1. Hãy tính căn bậc ba của -125 là bao nhiêu?

2. Tại một thời điểm trong ngày, mặt trời tạo với mặt đất góc 34 độ và bóng của một ngọn tháp dài 86 m trên mặt đất. Hãy tính chiều cao của ngọn tháp (làm tròn đến m).

3. Cho tam giác ABC vuông tại A, có đường cao AH và trung điểm M của cạnh AC. Hãy tính:
– Độ dài các đoạn thẳng AH, AB, AC khi HB = 9 cm và HC = 16 cm.
– Giá trị của sin B + tan^2 C.
– Diện tích tam giác BMC. Biết I là giao điểm của BM và AH, chứng minh rằng BI = 2.IM.cot^2B.

Chúc các em học sinh hoàn thành đề thi môn Toán lớp 9 với thành công! Hy vọng rằng đề thi sẽ giúp các em củng cố kiến thức và chuẩn bị tốt cho kỳ thi cuối kì sắp tới. Cảm ơn sự quan tâm và hỗ trợ của các thầy cô giáo trong việc giáo dục và đào tạo các em.

Đánh giá bài viết cho thầy/cô vui 

0 / 5 0

Your page rank:

Avatar of Phan Quang
       

Về tác giả : Phan Quang

Giáo viên Toán học xuất sắc, sinh năm 1985 tại Hà Nội. Tốt nghiệp Đại học Sư phạm Hà Nội với bằng cử nhân Toán học, thầy có hơn 10 năm kinh nghiệm giảng dạy cấp 2 và ôn thi vào 10. Năm 2024, thầy sáng lập website daygioi.com – nền tảng giáo dục trực tuyến miễn phí, cung cấp bài giảng video, bài tập tương tác và tài liệu ôn tập cho hàng ngàn học sinh Việt Nam. Với phong cách dạy gần gũi, sáng tạo, thầy luôn khơi dậy niềm đam mê Toán học qua ví dụ đời thường. Được phụ huynh và học sinh yêu mến, thầy là nguồn cảm hứng cho thế hệ giáo viên trẻ.

       

Xem nhiều bài của tác giả : Phan Quang