Đề thi giữa học kì 1 (HK1) lớp 9 môn Toán năm 2023 2024 phòng GD ĐT Hiệp Hòa Bắc Giang

  • Đề giữa HK1 Toán 9

Đề thi giữa học kì 1 (HK1) lớp 9 môn Toán năm 2023 2024 phòng GD ĐT Hiệp Hòa Bắc Giang

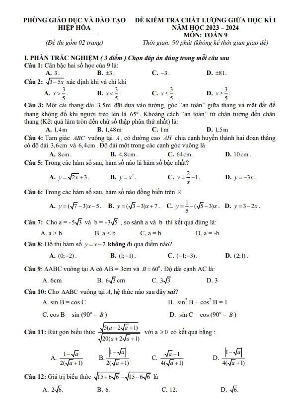
Chào quý thầy, cô giáo và các em học sinh lớp 9! Hôm nay Sytu xin giới thiệu đến mọi người đề kiểm tra chất lượng giữa học kì 1 môn Toán lớp 9 năm học 2023 – 2024 của phòng Giáo dục và Đào tạo huyện Hiệp Hòa, tỉnh Bắc Giang. Đề thi bao gồm 02 trang, với cấu trúc 30% trắc nghiệm (15 câu) và 70% tự luận (04 câu), thời gian làm bài 90 phút (không kể thời gian giao đề).

Trích dẫn một số câu hỏi từ Đề giữa học kì 1 Toán lớp 9 năm 2023 – 2024 phòng GD&ĐT Hiệp Hòa – Bắc Giang:

  1. Một cái thang dài 3,5m đặt dựa vào tường, góc “an toàn” giữa thang và mặt đất để thang không đổ khi người trèo lên là 65. Khoảng cách “an toàn” từ chân tường đến chân thang là bao nhiêu?
  2. Tam giác ABC vuông tại A, có đường cao AH chia cạnh huyền thành hai đoạn thẳng có độ dài 3,6cm và 6,4cm. Độ dài một trong các cạnh góc vuông là bao nhiêu?
  3. Cho tam giác ABC vuông tại A, AH là đường cao. Biết BH = 36cm, CH = 64cm. Hãy tính các độ dài và góc của tam giác ABC.

Những câu hỏi trên đều đòi hỏi sự tư duy và kiến thức sâu rộng về môn Toán. Chúc các em học sinh sẽ đạt kết quả tốt trong bài kiểm tra này!

Đánh giá bài viết cho thầy/cô vui 

0 / 5 0

Your page rank:

Avatar of Phan Quang
       

Về tác giả : Phan Quang

Giáo viên Toán học xuất sắc, sinh năm 1985 tại Hà Nội. Tốt nghiệp Đại học Sư phạm Hà Nội với bằng cử nhân Toán học, thầy có hơn 10 năm kinh nghiệm giảng dạy cấp 2 và ôn thi vào 10. Năm 2024, thầy sáng lập website daygioi.com – nền tảng giáo dục trực tuyến miễn phí, cung cấp bài giảng video, bài tập tương tác và tài liệu ôn tập cho hàng ngàn học sinh Việt Nam. Với phong cách dạy gần gũi, sáng tạo, thầy luôn khơi dậy niềm đam mê Toán học qua ví dụ đời thường. Được phụ huynh và học sinh yêu mến, thầy là nguồn cảm hứng cho thế hệ giáo viên trẻ.

       

Xem nhiều bài của tác giả : Phan Quang