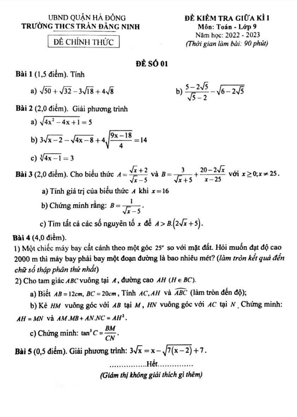
Đề thi giữa học kì 1 (HK1) lớp 9 môn Toán năm 2022 2023 trường THCS Trần Đăng Ninh Hà Nội

  • Đề giữa HK1 Toán 9

Đề thi giữa học kì 1 (HK1) lớp 9 môn Toán năm 2022 2023 trường THCS Trần Đăng Ninh Hà Nội

Xin chào quý thầy cô và các em học sinh lớp 9! Sau đây là đề kiểm tra giữa học kì 1 môn Toán lớp 9 năm học 2022-2023 của trường THCS Trần Đăng Ninh, Hà Nội.

1. Một chiếc máy bay cất cánh theo một góc 25° so với mặt đất. Hỏi muốn đạt độ cao 2000m thì máy bay phải bay một đoạn đường là bao nhiêu mét? (làm tròn kết quả đến chữ số thập phân thứ nhất).

2. Cho tam giác ABC vuông tại A, đường cao AH (H thuộc BC).
a) Biết AB = 12cm, BC = 20cm. Tính AC, AH và ABC (làm tròn đến độ);
b) Kẻ HM vuông góc với AB tại M, HN vuông góc với AC tại N. Chứng minh: AH = MN và AM.MB + AN.NC = AH^2.

Chúc quý thầy cô và các em học sinh có một bài thi thành công! Hãy cố gắng hết mình và tự tin làm bài nhé!

Đánh giá bài viết cho thầy/cô vui 

0 / 5 0

Your page rank:

Avatar of Phan Quang
       

Về tác giả : Phan Quang

Giáo viên Toán học xuất sắc, sinh năm 1985 tại Hà Nội. Tốt nghiệp Đại học Sư phạm Hà Nội với bằng cử nhân Toán học, thầy có hơn 10 năm kinh nghiệm giảng dạy cấp 2 và ôn thi vào 10. Năm 2024, thầy sáng lập website daygioi.com – nền tảng giáo dục trực tuyến miễn phí, cung cấp bài giảng video, bài tập tương tác và tài liệu ôn tập cho hàng ngàn học sinh Việt Nam. Với phong cách dạy gần gũi, sáng tạo, thầy luôn khơi dậy niềm đam mê Toán học qua ví dụ đời thường. Được phụ huynh và học sinh yêu mến, thầy là nguồn cảm hứng cho thế hệ giáo viên trẻ.

       

Xem nhiều bài của tác giả : Phan Quang