Đề thi giữa học kì 1 (HK1) lớp 9 môn Toán năm 2020 2021 trường THCS thị trấn Văn Điển Hà Nội

  • Đề giữa HK1 Toán 9

Đề thi giữa học kì 1 (HK1) lớp 9 môn Toán năm 2020 2021 trường THCS thị trấn Văn Điển Hà Nội

Để đánh giá chất lượng dạy và học môn Toán lớp 9 định kỳ, vào ngày … tháng 11 năm 2020, trường THCS thị trấn Văn Điển, Thanh Trì, thành phố Hà Nội đã tổ chức kỳ thi kiểm tra chất lượng giữa học kì 1 môn Toán lớp 9 năm học 2020 – 2021.

Đề thi giữa kỳ 1 Toán lớp 9 năm 2020 – 2021 trường THCS thị trấn Văn Điển – Hà Nội được biên soạn theo hình thức đề thi tự luận. Đề bao gồm 05 câu, thời gian làm bài 90 phút. Đề thi có đáp án và lời giải chi tiết.

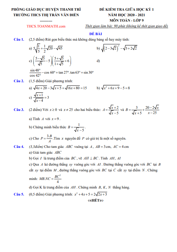
Trích dẫn một số câu trong đề thi:

1. Với x ≥ 0 và x ≠ 25, tính A với x = 9 và chứng minh biểu thức 5Bx.

2. Cho tam giác ABC vuông tại A, AB = 3 cm, AC = 4 cm. Giải tam giác ABC và tính AH khi BI là trung điểm của BC.

3. Giải phương trình 2x + 5 = 9x.

Đề thi này cung cấp các bài toán đa dạng, từ tính toán đến lý luận, giúp học sinh thử thách kiến thức và kỹ năng giải quyết vấn đề. Hy vọng thông qua đề thi này, học sinh có thể củng cố kiến thức và chuẩn bị tốt cho kỳ thi cuối kì.

Đánh giá bài viết cho thầy/cô vui 

0 / 5 0

Your page rank:

Avatar of Phan Quang
       

Về tác giả : Phan Quang

Giáo viên Toán học xuất sắc, sinh năm 1985 tại Hà Nội. Tốt nghiệp Đại học Sư phạm Hà Nội với bằng cử nhân Toán học, thầy có hơn 10 năm kinh nghiệm giảng dạy cấp 2 và ôn thi vào 10. Năm 2024, thầy sáng lập website daygioi.com – nền tảng giáo dục trực tuyến miễn phí, cung cấp bài giảng video, bài tập tương tác và tài liệu ôn tập cho hàng ngàn học sinh Việt Nam. Với phong cách dạy gần gũi, sáng tạo, thầy luôn khơi dậy niềm đam mê Toán học qua ví dụ đời thường. Được phụ huynh và học sinh yêu mến, thầy là nguồn cảm hứng cho thế hệ giáo viên trẻ.

       

Xem nhiều bài của tác giả : Phan Quang