Đề thi giữa học kì 1 (HK1) lớp 9 môn Toán năm 2020 2021 trường THCS Quỳnh Mai Hà Nội

  • Đề giữa HK1 Toán 9

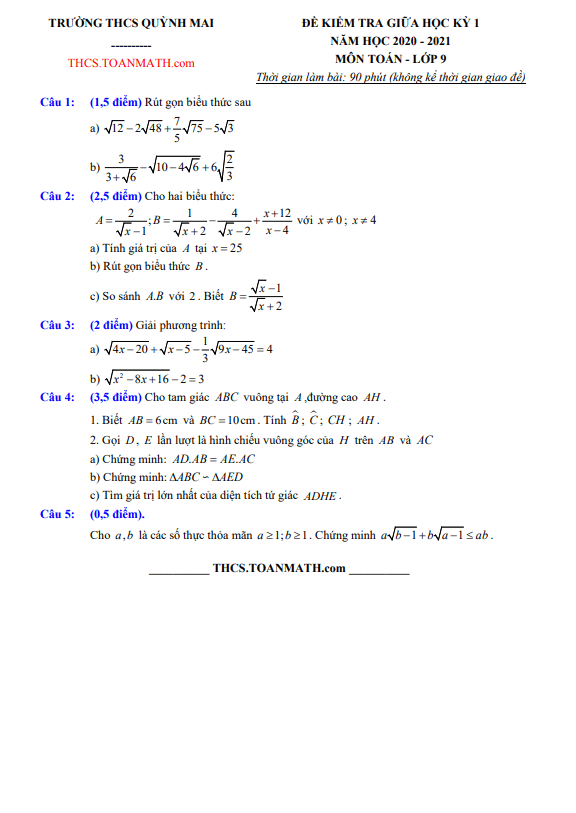
Đề thi giữa học kỳ 1 lớp 9 môn Toán năm 2020 2021 trường THCS Quỳnh Mai Hà Nội

Để đánh giá chất lượng dạy và học môn Toán lớp 9 định kỳ, trường THCS Quỳnh Mai tổ chức kỳ thi kiểm tra chất lượng giữa học kỳ 1 năm học 2020 – 2021 vào ngày … tháng 11 năm 2020. Đề thi được biên soạn theo hình thức đề thi tự luận, bao gồm 5 câu, thời gian làm bài 90 phút, có đáp án và lời giải chi tiết.

Trích dẫn đề thi giữa kỳ 1 Toán lớp 9 năm 2020 – 2021 trường THCS Quỳnh Mai – Hà Nội:

  1. Rút gọn biểu thức sau.
  2. Cho tam giác ABC vuông tại A, đường cao AH. Biết AB = 6cm và BC = 10cm. Tính BC, CH, AH.
  3. Gọi D, E lần lượt là hình chiếu vuông góc của H trên AB và AC.
    • a) Chứng minh: AD/AB = AE/AC.
    • b) Chứng minh: ABC ≅ AED.
    • c) Tìm giá trị lớn nhất của diện tích tứ giác ADHE.
  4. Cho a, b là các số thực thỏa mãn ạ b ≠ 1.
    • Chứng minh: a/b + b/a ≥ 2.

Đề thi này giúp học sinh ôn tập và kiểm tra kiến thức Toán của mình qua các bài tập phong phú và đa dạng. Hy vọng rằng các em sẽ làm tốt trong kỳ thi này để nâng cao kỹ năng và kiến thức của mình.

Đánh giá bài viết cho thầy/cô vui 

0 / 5 0

Your page rank:

Avatar of Phan Quang
       

Về tác giả : Phan Quang

Giáo viên Toán học xuất sắc, sinh năm 1985 tại Hà Nội. Tốt nghiệp Đại học Sư phạm Hà Nội với bằng cử nhân Toán học, thầy có hơn 10 năm kinh nghiệm giảng dạy cấp 2 và ôn thi vào 10. Năm 2024, thầy sáng lập website daygioi.com – nền tảng giáo dục trực tuyến miễn phí, cung cấp bài giảng video, bài tập tương tác và tài liệu ôn tập cho hàng ngàn học sinh Việt Nam. Với phong cách dạy gần gũi, sáng tạo, thầy luôn khơi dậy niềm đam mê Toán học qua ví dụ đời thường. Được phụ huynh và học sinh yêu mến, thầy là nguồn cảm hứng cho thế hệ giáo viên trẻ.

       

Xem nhiều bài của tác giả : Phan Quang