-
Đề giữa HK1 Toán 9
Đề thi giữa học kì 1 (HK1) lớp 9 môn Toán năm 2020 – 2021
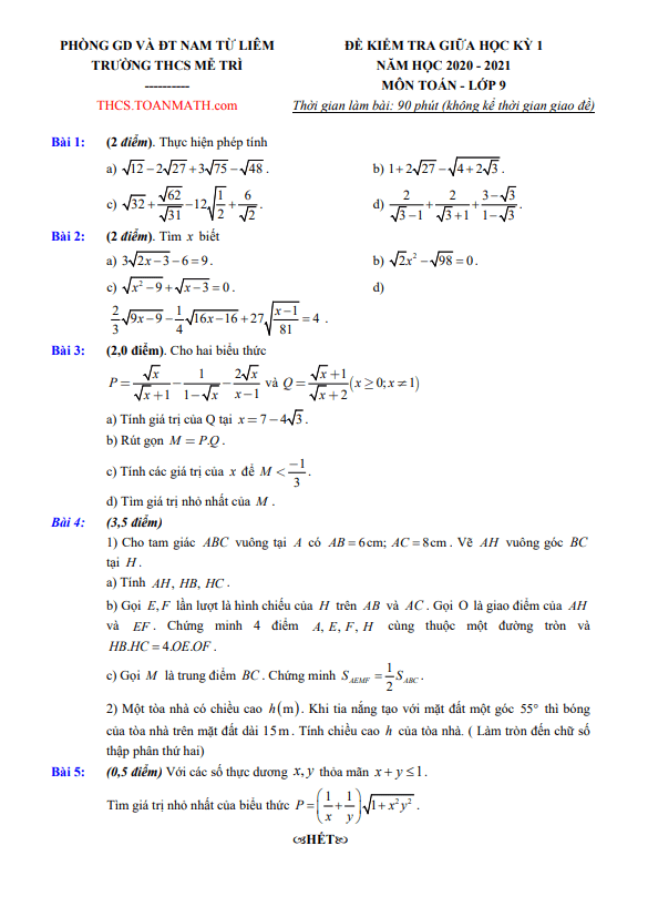
Để kiểm tra chất lượng dạy và học môn Toán lớp 9 định kỳ, trường THCS Mễ Trì, Hà Nội tổ chức kỳ thi giữa học kì 1 năm học 2020 – 2021 vào ngày … tháng 11 năm 2020. Đề thi được biên soạn dành cho học sinh lớp 9 với hình thức đề tự luận, bao gồm 5 câu hỏi và thời gian làm bài là 90 phút. Đề thi có kèm đáp án và lời giải chi tiết.
Một số câu hỏi trích dẫn từ đề thi gồm:
- Cho tam giác ABC vuông tại A, AB = 6cm và AC = 8cm. Tính độ dài của các đoạn AH, HB, và HC.
- Chứng minh rằng các điểm A, E, F, và H cùng thuộc một đường tròn, trong đó E và F lần lượt là hình chiếu của H lên AB và AC.
- Tính chiều cao h của một tòa nhà khi biết rằng khi tia nắng tạo với mặt đất góc 55°, bóng của tòa nhà trên mặt đất dài 15m.
- Tìm giá trị nhỏ nhất của biểu thức P = (1/x) + (1/y) với điều kiện x > 0, y > 0, và xy = 1.
Đề thi giữa kì 1 Toán lớp 9 năm 2020 – 2021 trường THCS Mễ Trì, Hà Nội nhằm đánh giá kiến thức và năng lực của học sinh, giúp họ chuẩn bị tốt hơn cho kỳ thi cuối kì và những thử thách trong học tập.