-
Đề giữa HK1 Toán 9
Đề thi giữa kì 1 Toán lớp 9 năm 2020-2021 trường THCS Giảng Võ
Ngày … tháng 11 năm 2020, trường THCS Giảng Võ, Ba Đình, thành phố Hà Nội đã tổ chức kỳ thi kiểm tra chất lượng giữa học kỳ 1 môn Toán lớp 9 năm học 2020 – 2021 để đánh giá chất lượng dạy và học định kỳ.
Đề thi giữa kì 1 Toán lớp 9 năm 2020-2021 trường THCS Giảng Võ – Hà Nội bao gồm 05 câu hỏi, được biên soạn theo hình thức đề thi tự luận. Thí sinh có 90 phút để hoàn thành bài thi, đề thi có đáp án và lời giải chi tiết để học sinh tự kiểm tra và hiểu rõ hơn về bài tập.
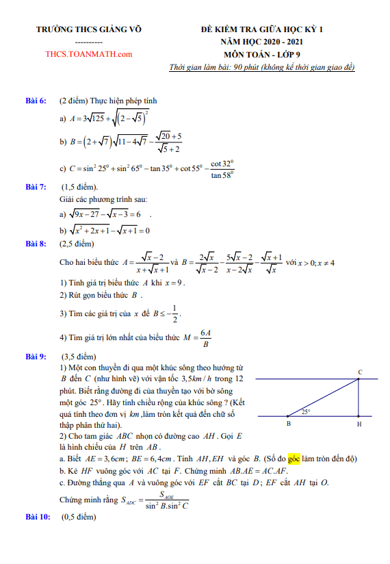
Chi tiết một số câu hỏi trong đề thi:
- Cho hai biểu thức (2x^2+1) và (2x^2+5x+2) với (x neq 0). Tính giá trị biểu thức (A) khi (x = 9).
- Rút gọn biểu thức (B = frac{2x^2+5x+2}{2x^2+1}).
- Tìm các giá trị của (x) để (B = 1).
- Tìm giá trị lớn nhất của biểu thức (6A – M + B).
- Một con thuyền di chuyển từ B đến C với vận tốc 3,5 km/h trong 12 phút. Góc tạo bởi đường đi của thuyền và bờ sông là 25°. Hãy tính chiều rộng của khúc sông.
- Cho tam giác (ABC) nhọn có đường cao (AH). Tính các giá trị và góc (B) của tam giác (ABC), cũng như chứng minh một số mệnh đề liên quan đến tam giác.
Đề thi giữa kì 1 Toán lớp 9 năm 2020-2021 trường THCS Giảng Võ – Hà Nội không chỉ giúp học sinh tự kiểm tra kiến thức mà còn giúp họ rèn luyện kỹ năng giải quyết vấn đề và ôn tập kiến thức đã học trong học kỳ trước đó.