Đề thi giữa học kì 1 (HK1) lớp 9 môn Toán năm 2020 2021 trường THCS Ba Đình Hà Nội

  • Đề giữa HK1 Toán 9

Đề thi giữa học kì 1 môn Toán lớp 9 năm 2020 2021 trường THCS Ba Đình Hà Nội

Để đánh giá chất lượng dạy và học môn Toán lớp 9 định kỳ, vào ngày … tháng 11 năm 2020, trường THCS Ba Đình, quận Ba Đình, thành phố Hà Nội đã tổ chức kỳ thi kiểm tra chất lượng giữa học kỳ 1 môn Toán lớp 9 năm học 2020 – 2021. Đề thi giữa kì 1 Toán lớp 9 năm 2020 – 2021 trường THCS Ba Đình – Hà Nội được biên soạn theo dạng đề thi tự luận, gồm 5 câu, thời gian làm bài 90 phút, đề thi có đáp án và lời giải chi tiết.

Trích dẫn một số câu trong đề thi:

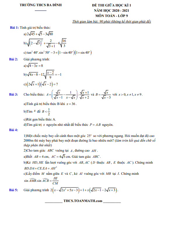
  • Cho biểu thức: a) Tính giá trị biểu thức B khi x = 36. b) Tìm x để 1/2 B. c) Rút gọn biểu thức A. d) Tìm giá trị x nguyên nhỏ nhất để biểu thức P = AB nguyên.
  • Một chiếc máy bay cất cánh theo một góc 25 độ so với phương ngang. Hỏi muốn đạt độ cao 2000m thì máy bay phải bay một đoạn đường là bao nhiêu mét?
  • Cho tam giác ABC vuông tại A, đường cao AH. a) Biết AB = 4 cm, AC = 4√3 cm. Giải tam giác ABC. b) Kẻ HD, HE lần lượt vuông góc với AB, AC (D thuộc AB, E thuộc AC). Chứng minh 2 BD = DA, CE = EA, AH. c) Lấy điểm M nằm giữa E và C, kẻ AI vuông góc với MB tại I. Chứng minh sinHIA = sinMBA, sinACB = sinCMA.

Đề thi giữa học kỳ 1 môn Toán lớp 9 năm 2020 – 2021 tại trường THCS Ba Đình Hà Nội giúp học sinh tự kiểm tra và nâng cao kiến thức, kỹ năng Toán của mình, từ đó chuẩn bị tốt nhất cho kì thi học kỳ sắp tới.

Đánh giá bài viết cho thầy/cô vui 

0 / 5 0

Your page rank:

Avatar of Phan Quang
       

Về tác giả : Phan Quang

Giáo viên Toán học xuất sắc, sinh năm 1985 tại Hà Nội. Tốt nghiệp Đại học Sư phạm Hà Nội với bằng cử nhân Toán học, thầy có hơn 10 năm kinh nghiệm giảng dạy cấp 2 và ôn thi vào 10. Năm 2024, thầy sáng lập website daygioi.com – nền tảng giáo dục trực tuyến miễn phí, cung cấp bài giảng video, bài tập tương tác và tài liệu ôn tập cho hàng ngàn học sinh Việt Nam. Với phong cách dạy gần gũi, sáng tạo, thầy luôn khơi dậy niềm đam mê Toán học qua ví dụ đời thường. Được phụ huynh và học sinh yêu mến, thầy là nguồn cảm hứng cho thế hệ giáo viên trẻ.

       

Xem nhiều bài của tác giả : Phan Quang