Đề thi giữa học kì 1 (HK1) lớp 8 môn Toán năm 2023 2024 trường THCS Lê Lợi Hà Nội

  • Đề giữa HK1 Toán 8

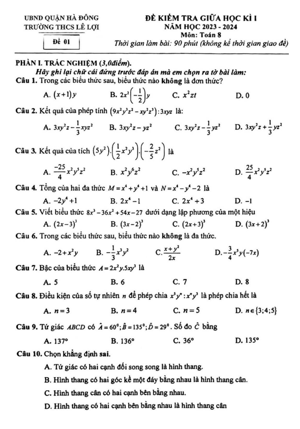
Đề thi giữa học kì 1 Toán lớp 8 năm 2023-2024

Xin chào quý thầy, cô giáo và các em học sinh lớp 8! Hôm nay mình xin giới thiệu đến các bạn đề kiểm tra giữa học kì 1 môn Toán lớp 8 năm học 2023-2024 của trường THCS Lê Lợi, Hà Nội. Đề thi bao gồm 02 trang, với hình thức 30% trắc nghiệm và 70% tự luận, thời gian làm bài là 90 phút.

Trích dẫn một số câu hỏi từ đề thi:

1. Chọn khẳng định sai:
A. Hình bình hành có hai đường chéo cắt nhau tại trung điểm mỗi đường.
B. Hình bình hành có các góc đối bằng nhau.
C. Hình bình hành có hai đường chéo vuông góc với nhau.
D. Hình bình hành có hai cặp cạnh đối vừa song song, vừa bằng nhau.

2. Bác Hùng muốn trồng hoa trên mảnh vườn hình tam giác có kích thước x = 4m, y = 2m. Tính số tiền công bác phải trả biết rằng giá tiền công trồng hoa 1m2 là 60.000 đồng.

3. Cho tam giác ABC gọi M, N lần lượt là trung điểm của AB, AC.
a) Tính độ dài BC khi MN = 3,5cm và chứng minh tứ giác BMNC là hình thang.
b) Chứng minh tứ giác AKNM là hình bình hành.
c) Chứng minh AQ, MN và BK đồng quy.

Đây là một đề thi mẫu thực hành cho các em học sinh lớp 8 để rèn luyện kiến thức và kỹ năng giải toán. Chúc các em ôn tập tốt và đạt kết quả cao trong kỳ thi sắp tới. Cảm ơn các thầy cô đã luôn đồng hành và hỗ trợ chúng em trong quá trình học tập!

Đánh giá bài viết cho thầy/cô vui 

0 / 5 0

Your page rank:

Avatar of Phan Quang
       

Về tác giả : Phan Quang

Giáo viên Toán học xuất sắc, sinh năm 1985 tại Hà Nội. Tốt nghiệp Đại học Sư phạm Hà Nội với bằng cử nhân Toán học, thầy có hơn 10 năm kinh nghiệm giảng dạy cấp 2 và ôn thi vào 10. Năm 2024, thầy sáng lập website daygioi.com – nền tảng giáo dục trực tuyến miễn phí, cung cấp bài giảng video, bài tập tương tác và tài liệu ôn tập cho hàng ngàn học sinh Việt Nam. Với phong cách dạy gần gũi, sáng tạo, thầy luôn khơi dậy niềm đam mê Toán học qua ví dụ đời thường. Được phụ huynh và học sinh yêu mến, thầy là nguồn cảm hứng cho thế hệ giáo viên trẻ.

       

Xem nhiều bài của tác giả : Phan Quang