Đề thi giữa học kì 1 (HK1) lớp 7 môn Toán năm 2022 2023 trường TH THCS Tây Hà Nội

  • Đề giữa HK1 Toán 7

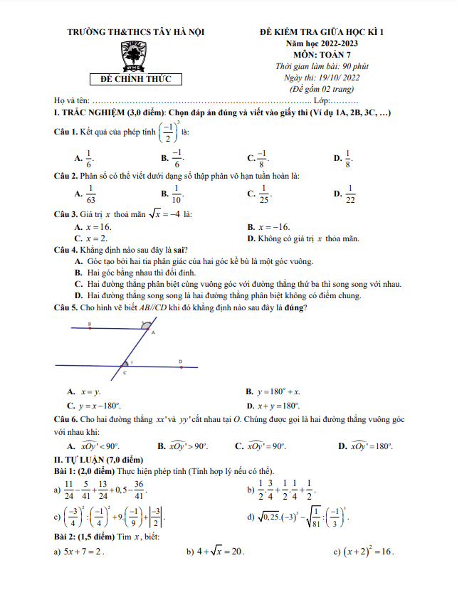
Đề kiểm tra giữa học kì 1 môn Toán lớp 7 năm học 2022 – 2023

Cảm ơn quý thầy cô và các em học sinh lớp 7 đã tham gia kỳ thi giữa học kì 1 môn Toán của trường TH & THCS Tây Hà Nội. Kỳ thi đã diễn ra vào ngày 19 tháng 10 năm 2022.

Trích dẫn một số câu hỏi từ đề thi:

  • Khẳng định nào sau đây là sai?
    • A. Góc tạo bởi hai tia phân giác của hai góc kề bù là một góc vuông.
    • B. Hai góc bằng nhau thì đối đỉnh.
    • C. Hai đường thẳng phân biệt cùng vuông góc với đường thẳng thứ ba thì song song với nhau.
    • D. Hai đường thẳng song song là hai đường thẳng phân biệt không có điểm chung.
  • Cho hình vẽ bên. Hãy tính số đo góc DCx, chứng minh hai tia Ax và By song song, chứng minh By vuông góc với AB.
  • Cho hai đường thẳng xx’ và yy’ cắt nhau tại O. Chúng được gọi là hai đường thẳng vuông góc với nhau khi?

Các bạn học sinh hãy tự tin làm bài và đạt kết quả cao trong kỳ thi này. Chúc các em thành công!

Đánh giá bài viết cho thầy/cô vui 

0 / 5 0

Your page rank:

Avatar of Phan Quang
       

Về tác giả : Phan Quang

Giáo viên Toán học xuất sắc, sinh năm 1985 tại Hà Nội. Tốt nghiệp Đại học Sư phạm Hà Nội với bằng cử nhân Toán học, thầy có hơn 10 năm kinh nghiệm giảng dạy cấp 2 và ôn thi vào 10. Năm 2024, thầy sáng lập website daygioi.com – nền tảng giáo dục trực tuyến miễn phí, cung cấp bài giảng video, bài tập tương tác và tài liệu ôn tập cho hàng ngàn học sinh Việt Nam. Với phong cách dạy gần gũi, sáng tạo, thầy luôn khơi dậy niềm đam mê Toán học qua ví dụ đời thường. Được phụ huynh và học sinh yêu mến, thầy là nguồn cảm hứng cho thế hệ giáo viên trẻ.

       

Xem nhiều bài của tác giả : Phan Quang