Đề thi định kỳ lần 1 lớp 11 môn Toán năm 2022 2023 trường THPT Việt Yên 1 Bắc Giang

  • Đề khảo sát Toán 11

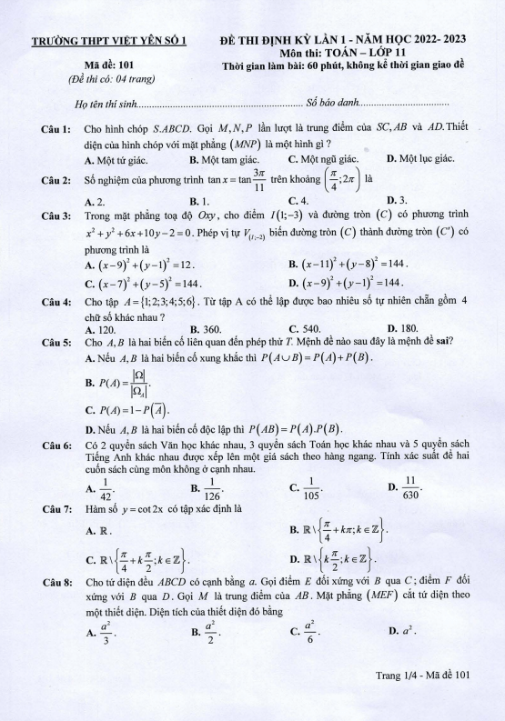
Đề thi định kỳ lần 1 lớp 11 môn Toán năm 2022 – 2023 trường THPT Việt Yên 1 Bắc Giang

Chào quý thầy cô và các em học sinh lớp 11! Sytu xin giới thiệu đến mọi người đề thi khảo sát chất lượng định kỳ lần 1 môn Toán lớp 11 năm học 2022 – 2023 tại trường THPT Việt Yên 1, Bắc Giang. Đề thi có mã đề 101 và bao gồm 04 trang với 35 câu trắc nghiệm, thời gian làm bài là 60 phút.

Trích dẫn một số câu hỏi từ đề thi:

  • Cho hình chóp S.ABCD. Gọi M, N, P lần lượt là trung điểm của SC, AB và AD. Thiết diện của hình chóp với mặt phẳng (MNP) là một hình gì?

    A. Một tứ giác
    C. Một ngũ giác
    B. Một tam giác
    D. Một lục giác
  • Có 2 quyển sách Văn học khác nhau, 3 quyển sách Toán học khác nhau và 5 quyển sách Tiếng Anh khác nhau được xếp lên một giá sách theo hàng ngang. Tính xác suất để hai cuốn sách cùng môn không ở cạnh nhau.
  • Một cấp số cộng có 6 số hạng. Biết rằng tổng của số hạng đầu và số hạng cuối bằng 17, tổng của số hạng thứ hai và số hạng thứ tư bằng 14. Tìm công sai d của cấp số cộng đã cho.

Hy vọng rằng đề thi này sẽ giúp các em học sinh ôn tập hiệu quả và chuẩn bị tốt cho kỳ thi sắp tới. Chúc các em thành công!

Đánh giá bài viết cho thầy/cô vui 

0 / 5 0

Your page rank:

Avatar of Phan Quang
       

Về tác giả : Phan Quang

Giáo viên Toán học xuất sắc, sinh năm 1985 tại Hà Nội. Tốt nghiệp Đại học Sư phạm Hà Nội với bằng cử nhân Toán học, thầy có hơn 10 năm kinh nghiệm giảng dạy cấp 2 và ôn thi vào 10. Năm 2024, thầy sáng lập website daygioi.com – nền tảng giáo dục trực tuyến miễn phí, cung cấp bài giảng video, bài tập tương tác và tài liệu ôn tập cho hàng ngàn học sinh Việt Nam. Với phong cách dạy gần gũi, sáng tạo, thầy luôn khơi dậy niềm đam mê Toán học qua ví dụ đời thường. Được phụ huynh và học sinh yêu mến, thầy là nguồn cảm hứng cho thế hệ giáo viên trẻ.

       

Xem nhiều bài của tác giả : Phan Quang