Đề thi cuối học kì 1 (HK1) lớp 8 môn Toán năm 2020 2021 sở GD ĐT Bắc Ninh

  • Đề HK1 Toán 8

Đề thi cuối học kỳ 1 Toán lớp 8 năm 2020 – 2021 sở GD&ĐT Bắc Ninh

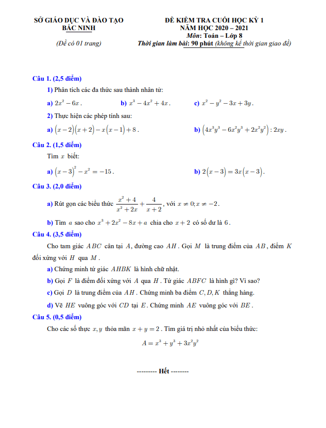
Đề thi cuối học kỳ 1 Toán lớp 8 năm 2020 – 2021 sở GD&ĐT Bắc Ninh được biên soạn theo hình thức tự luận 100% với 05 bài toán. Thời gian làm bài là 90 phút (không kể thời gian phát đề). Đề thi có đáp án và lời giải chi tiết.

Trích dẫn đề thi:

  1. Tìm a sao cho ( frac{3x^2}{x} + ax + 8 ) chia hết cho (x^2) và có số dư là 6.
  2. Cho tam giác ABC cân tại A, đường cao AH. Gọi M là trung điểm của AB, điểm K đối xứng với H qua M.
    • a) Chứng minh tứ giác AHBK là hình chữ nhật.
    • b) Gọi F là điểm đối xứng với A qua H. Tứ giác ABFC là hình gì? Vì sao?
    • c) Chứng minh ba điểm C, D, K thẳng hàng.
    • d) Vẽ HE vuông góc với CD tại E. Chứng minh AE vuông góc với BE.
  3. Cho các số thực x, y thỏa mãn (xy = 2). Tìm giá trị nhỏ nhất của biểu thức: (3x^3y^2 + 2x^2y^3).

Đề thi cuối học kỳ 1 Toán lớp 8 năm 2020 – 2021 sở GD&ĐT Bắc Ninh là một bộ đề thi khá đa dạng với nhiều bài toán thú vị và đòi hỏi sự khéo léo trong việc suy luận và giải quyết vấn đề. Hãy cùng nhau tham gia và thử sức để hoàn thành bài thi một cách tốt nhất!

Đánh giá bài viết cho thầy/cô vui 

0 / 5 0

Your page rank:

Avatar of Phan Quang
       

Về tác giả : Phan Quang

Giáo viên Toán học xuất sắc, sinh năm 1985 tại Hà Nội. Tốt nghiệp Đại học Sư phạm Hà Nội với bằng cử nhân Toán học, thầy có hơn 10 năm kinh nghiệm giảng dạy cấp 2 và ôn thi vào 10. Năm 2024, thầy sáng lập website daygioi.com – nền tảng giáo dục trực tuyến miễn phí, cung cấp bài giảng video, bài tập tương tác và tài liệu ôn tập cho hàng ngàn học sinh Việt Nam. Với phong cách dạy gần gũi, sáng tạo, thầy luôn khơi dậy niềm đam mê Toán học qua ví dụ đời thường. Được phụ huynh và học sinh yêu mến, thầy là nguồn cảm hứng cho thế hệ giáo viên trẻ.

       

Xem nhiều bài của tác giả : Phan Quang