-
Đề HSG Toán 12
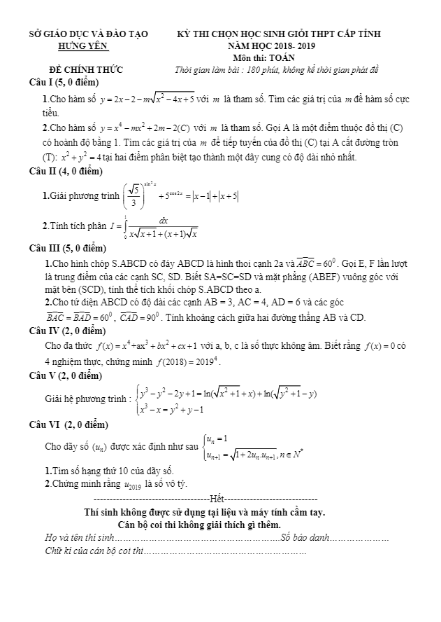
Đề thi chọn HSG Toán THPT cấp tỉnh năm 2018-2019 sở GD&ĐT Hưng Yên
Sytu xin gửi đến quý thầy cô và các em học sinh nội dung đề thi chọn HSG Toán THPT cấp tỉnh năm 2018-2019 sở GD&ĐT Hưng Yên. Đề thi bao gồm 01 trang với 06 bài toán tự luận, thời gian làm bài là 180 phút. Mục tiêu của kỳ thi là phát hiện và tuyển chọn những học sinh giỏi môn Toán THPT đang học tại các trường THPT trên địa bàn tỉnh Hưng Yên, nhằm tuyên dương, khen thưởng và thành lập đội tuyển học sinh giỏi Toán tỉnh tham dự kỳ thi HSG Toán THPT cấp Quốc gia.
Trích đoạn từ đề thi chọn HSG Toán THPT cấp tỉnh năm 2018-2019 sở GD&ĐT Hưng Yên:
+ Cho hàm số y = x^4 – mx^2 + 2m – 2 (C) với m là tham số. Gọi A là một điểm thuộc đồ thị (C) có hoành độ bằng 1. Tìm các giá trị của m để tiếp tuyến của đồ thị (C) tại A cắt đường tròn (T): x^2 + y^2 = 4 tại hai điểm phân biệt tạo thành một dây cung có độ dài nhỏ nhất.
+ Cho hình chóp S.ABCD có đáy ABCD là hình thoi cạnh 2a và góc ABC = 60 độ. Gọi E, F lần lượt là trung điểm của các cạnh SC, SD. Biết SA = SC = SD và mặt phẳng (ABEF) vuông góc với mặt bên (SCD), tính thể tích khối chóp S.ABCD theo a.
+ Cho đa thức f(x) = x^4 + ax^3 + bx^2 + cx + 1 với a, b, c là số thực không âm. Biết rằng f(x) = 0 có 4 nghiệm thực, chứng minh f(2018) = 2019^4.
File WORD (dành cho quý thầy, cô):