Đề thi chọn HSG tỉnh lớp 12 môn Toán năm 2020 2021 sở GD ĐT Thừa Thiên Huế

  • Đề HSG Toán 12

Đề thi chọn HSG tỉnh lớp 12 môn Toán năm 2020 2021 sở GD ĐT Thừa Thiên Huế

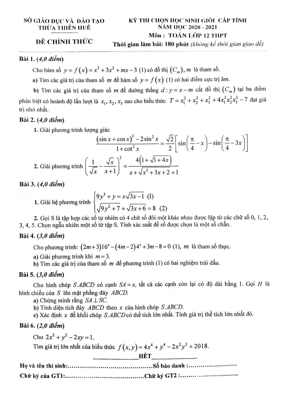
Ngày 19 tháng 01 năm 2021, sở Giáo dục và Đào tạo tỉnh Thừa Thiên Huế đã tổ chức kỳ thi chọn học sinh giỏi cấp tỉnh môn Toán lớp 12 hệ THPT cho năm học 2020-2021. Đề thi chọn HSG tỉnh lớp 12 môn Toán năm 2020-2021 của sở GD&ĐT Thừa Thiên Huế bao gồm 06 bài toán dạng tự luận trên 01 trang. Thời gian làm bài thi là 180 phút (không tính thời gian cán bộ coi thi phát đề).

Cụ thể, đề thi chứa các câu hỏi như sau:

1. Cho tập hợp S là các số tự nhiên có 4 chữ số đôi một khác nhau được lập từ các chữ số 0, 1, 2, 3, 4, 5. Chọn ngẫu nhiên một số từ tập S. Tính xác suất để số được chọn là một số chẵn.

2. Giải phương trình (2m + 3)⋅16^x – (4m – 2)⋅4^x + 3m – 8 = 0 với m là tham số thực. a) Giải phương trình khi m = 3. b) Tìm các giá trị của tham số m để phương trình có hai nghiệm trái dấu.

3. Hình chóp S.ABCD có cạnh SA = x, các cạnh còn lại đều bằng 1. Gọi H là hình chiếu của S lên mặt phẳng đáy ABCD. a) Chứng minh rằng SA vuông góc với SC. b) Tính diện tích đáy ABCD theo x. c) Xác định x để khối chóp S.ABCD có thể tích lớn nhất và tính giá trị thể tích lớn nhất đó.

Đề thi này không chỉ là cơ hội để học sinh thể hiện kiến thức và kỹ năng của mình mà còn đòi hỏi sự sáng tạo, logic và suy luận. Hy vọng rằng các thí sinh đã có những bước chuẩn bị tốt và sẽ đạt kết quả cao trong kỳ thi này.

Đánh giá bài viết cho thầy/cô vui 

0 / 5 0

Your page rank:

Avatar of Phan Quang
       

Về tác giả : Phan Quang

Giáo viên Toán học xuất sắc, sinh năm 1985 tại Hà Nội. Tốt nghiệp Đại học Sư phạm Hà Nội với bằng cử nhân Toán học, thầy có hơn 10 năm kinh nghiệm giảng dạy cấp 2 và ôn thi vào 10. Năm 2024, thầy sáng lập website daygioi.com – nền tảng giáo dục trực tuyến miễn phí, cung cấp bài giảng video, bài tập tương tác và tài liệu ôn tập cho hàng ngàn học sinh Việt Nam. Với phong cách dạy gần gũi, sáng tạo, thầy luôn khơi dậy niềm đam mê Toán học qua ví dụ đời thường. Được phụ huynh và học sinh yêu mến, thầy là nguồn cảm hứng cho thế hệ giáo viên trẻ.

       

Xem nhiều bài của tác giả : Phan Quang