Đề thi chọn HSG lớp 12 môn Toán THPT năm học 2018 2019 sở GD và ĐT Hà Nội

  • Đề HSG Toán 12

Đề thi chọn HSG Toán lớp 12 THPT năm học 2018 – 2019 sở GD và ĐT Hà Nội

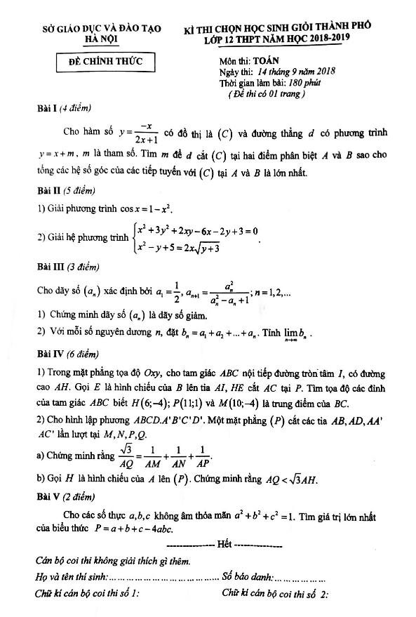
Đề thi chọn Học sinh giỏi (HSG) môn Toán lớp 12 THPT năm học 2018 – 2019 của sở Giáo dục và Đào tạo Hà Nội bao gồm 1 trang với 5 bài toán tự luận. Thời gian làm bài cho thí sinh là 180 phút. Kỳ thi này được tổ chức vào ngày 14 tháng 09 năm 2018 nhằm tìm kiếm các học sinh lớp 12 có khả năng và đam mê với môn Toán, nhằm mục đích bồi dưỡng và đào tạo cho họ.

Đánh giá bài viết cho thầy/cô vui 

0 / 5 0

Your page rank:

Avatar of Phan Quang
       

Về tác giả : Phan Quang

Giáo viên Toán học xuất sắc, sinh năm 1985 tại Hà Nội. Tốt nghiệp Đại học Sư phạm Hà Nội với bằng cử nhân Toán học, thầy có hơn 10 năm kinh nghiệm giảng dạy cấp 2 và ôn thi vào 10. Năm 2024, thầy sáng lập website daygioi.com – nền tảng giáo dục trực tuyến miễn phí, cung cấp bài giảng video, bài tập tương tác và tài liệu ôn tập cho hàng ngàn học sinh Việt Nam. Với phong cách dạy gần gũi, sáng tạo, thầy luôn khơi dậy niềm đam mê Toán học qua ví dụ đời thường. Được phụ huynh và học sinh yêu mến, thầy là nguồn cảm hứng cho thế hệ giáo viên trẻ.

       

Xem nhiều bài của tác giả : Phan Quang