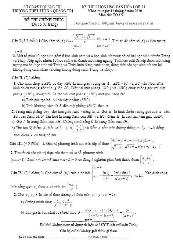
Đề thi chọn HSG lớp 11 môn Toán năm học 2019 2020 trường THPT thị xã Quảng Trị

  • Đề HSG Toán 11

Đề thi chọn HSG lớp 11 môn Toán trường THPT thị xã Quảng Trị

Ngày 12 tháng 06 năm 2020, trường THPT thị xã Quảng Trị tổ chức kỳ thi chọn học sinh giỏi văn hóa lớp 11 môn Toán năm học 2019 – 2020. Đề thi chọn HSG Toán lớp 11 môn Toán năm học 2019 – 2020 trường THPT thị xã Quảng Trị bao gồm 4 bài toán dạng tự luận trên 01 trang. Thời gian làm bài thi là 180 phút, đề thi được cung cấp lời giải chi tiết và thang điểm.

Trích đề thi chọn HSG Toán lớp 11 môn Toán năm học 2019 – 2020 trường THPT thị xã Quảng Trị:

  • Một tổ học sinh gồm 10 học sinh, trong đó có 6 nam và 4 nữ. Trong số các học sinh nữ, có hai học sinh tên là Trang và Thủy. Hãy tính xác suất để xếp các học sinh sao cho Trang và Thủy luôn đứng cạnh nhau, không có học sinh nữ nào khác đứng cạnh nhau, và cũng không đứng cạnh Trang và Thủy.
  • Cho hình chóp S.ABC với đáy ABC là tam giác vuông tại A. Biết góc ABC = 30 độ và BC = 2a. H là hình chiếu vuông góc của A lên BC. Góc giữa SA và mặt phẳng (SBC) là bao nhiêu? Tính khoảng cách từ điểm B đến mặt phẳng (SAC) theo a.
  • Trong mặt phẳng Oxy, tam giác ABC vuông tại A. Điểm H là hình chiếu vuông góc của A lên BC, M và N lần lượt là trung điểm của HB và HC, điểm K là trực tâm tam giác AMN. Chứng minh rằng K là trung điểm của đoạn thẳng IH và tìm tọa độ điểm A biết M(2;-1), K(-1/2;1/2), điểm A nằm trên đường thẳng x + 2y + 4 = 0 và có tung độ âm.

Thông qua đề thi chọn HSG lớp 11 môn Toán tại trường THPT thị xã Quảng Trị, học sinh sẽ được thách thức với các bài toán đa dạng và phức tạp, từ đó phát triển kỹ năng giải quyết vấn đề, logic và suy luận. Đây là cơ hội để học sinh thể hiện khả năng toán học của mình và chuẩn bị cho những thử thách nâng cao trong tương lai.

Đánh giá bài viết cho thầy/cô vui 

0 / 5 0

Your page rank:

Avatar of Phan Quang
       

Về tác giả : Phan Quang

Giáo viên Toán học xuất sắc, sinh năm 1985 tại Hà Nội. Tốt nghiệp Đại học Sư phạm Hà Nội với bằng cử nhân Toán học, thầy có hơn 10 năm kinh nghiệm giảng dạy cấp 2 và ôn thi vào 10. Năm 2024, thầy sáng lập website daygioi.com – nền tảng giáo dục trực tuyến miễn phí, cung cấp bài giảng video, bài tập tương tác và tài liệu ôn tập cho hàng ngàn học sinh Việt Nam. Với phong cách dạy gần gũi, sáng tạo, thầy luôn khơi dậy niềm đam mê Toán học qua ví dụ đời thường. Được phụ huynh và học sinh yêu mến, thầy là nguồn cảm hứng cho thế hệ giáo viên trẻ.

       

Xem nhiều bài của tác giả : Phan Quang