Đề thi chọn HSG lớp 11 môn Toán cấp tỉnh năm học 2017 2018 sở GD và ĐT Thanh Hóa

  • Đề HSG Toán 11

Đề thi chọn HSG Toán lớp 11 cấp tỉnh năm học 2017 – 2018

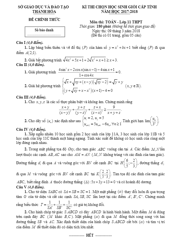
Đề thi chọn HSG Toán lớp 11 cấp tỉnh năm học 2017 – 2018 do Sở GD và ĐT Thanh Hóa tổ chức bao gồm 1 trang với 5 bài toán tự luận, thang điểm 20. Thời gian làm bài là 180 phút (không kể thời gian giao đề). Kỳ thi được tổ chức vào ngày 09 tháng 3 năm 2018. Đề thi có lời giải chi tiết.

Trích dẫn đề thi chọn HSG Toán lớp 11:

+ Đề bài 1: Hình chóp tứ giác S.ABCD có đáy ABCD là hình bình hành. Điểm M di động trên cạnh đáy BC (M khác B, C). Mặt phẳng (α) đi qua M song song với SB và AC. Xác định thiết diện của hình chóp S.ABCD cắt bởi (α) và tìm vị trí của điểm M để thiết diện đó có diện tích lớn nhất.

+ Đề bài 2: Xếp ngẫu nhiên 10 học sinh gồm 2 học sinh của lớp 11A, 3 học sinh của lớp 11B và 5 học sinh của lớp 11C thành một hàng ngang. Tính xác suất để không có học sinh cùng lớp đứng cạnh nhau.

+ Đề bài 3: Trong mặt phẳng tọa độ Oxy, tam giác ABC vuông cân tại A. Điểm M, N thuộc AB, AC sao cho AM = AN. Đường thẳng d1 vuông góc với BN cắt BC tại H(6/5; -2/3). Đường thẳng d2 vuông góc với BN cắt BC tại K(2/5; 2/3). Tìm tọa độ các đỉnh của tam giác ABC, biết A thuộc đường thẳng Δ: 5x + 3y + 13 = 0 và có hoành độ dương.

Đề thi chọn HSG Toán lớp 11 cấp tỉnh năm học 2017 – 2018 tập trung vào các bài toán phức tạp, đòi hỏi sự tư duy logic và khả năng giải quyết vấn đề của học sinh. Hy vọng các em học sinh sẽ có cơ hội thể hiện tài năng và kiến thức của mình thông qua bài thi này.

Đánh giá bài viết cho thầy/cô vui 

0 / 5 0

Your page rank:

Avatar of Phan Quang
       

Về tác giả : Phan Quang

Giáo viên Toán học xuất sắc, sinh năm 1985 tại Hà Nội. Tốt nghiệp Đại học Sư phạm Hà Nội với bằng cử nhân Toán học, thầy có hơn 10 năm kinh nghiệm giảng dạy cấp 2 và ôn thi vào 10. Năm 2024, thầy sáng lập website daygioi.com – nền tảng giáo dục trực tuyến miễn phí, cung cấp bài giảng video, bài tập tương tác và tài liệu ôn tập cho hàng ngàn học sinh Việt Nam. Với phong cách dạy gần gũi, sáng tạo, thầy luôn khơi dậy niềm đam mê Toán học qua ví dụ đời thường. Được phụ huynh và học sinh yêu mến, thầy là nguồn cảm hứng cho thế hệ giáo viên trẻ.

       

Xem nhiều bài của tác giả : Phan Quang