Đề thi chọn HSG lớp 10 môn Toán năm học 2017 2018 trường THPT Quỳ Hợp 1 Nghệ An

  • Đề HSG Toán 10

Đề thi chọn HSG Toán lớp 10 năm học 2017 – 2018 trường THPT Quỳ Hợp 1

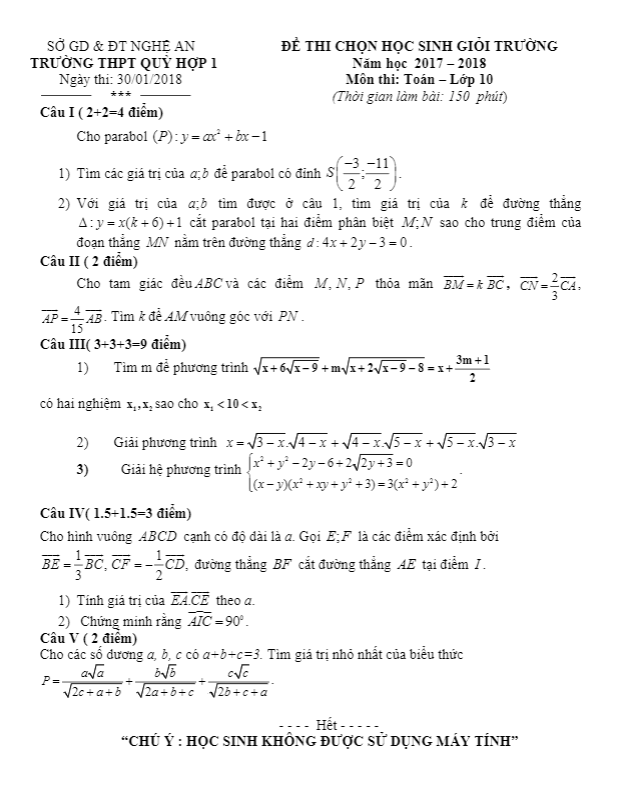
Đề thi chọn Học sinh giỏi môn Toán lớp 10 năm học 2017 – 2018 của trường THPT Quỳ Hợp 1 – Nghệ An bao gồm 1 trang với 5 bài toán tự luận. Thời gian làm bài là 150 phút, và thí sinh không được sử dụng máy tính cầm tay khi làm bài. Kỳ thi diễn ra vào ngày 30/01/2018, và đề thi cung cấp lời giải chi tiết cho các bài toán.

Trích dẫn một số bài toán từ đề thi:

Bài toán 1: Cho parabol (P): y = ax^2 + bx – 1.
a. Tìm các giá trị của a và b để parabol có đỉnh S(-3/2; -11/2).
b. Với giá trị của a và b ở câu 1, tìm giá trị của k để đường thẳng Δ: y = x(k + 6) + 1 cắt parabol tại hai điểm phân biệt M và N sao cho trung điểm của đoạn thẳng MN nằm trên đường thẳng d: 4x + 2y – 3 = 0.

Bài toán 2: Cho hình vuông ABCD cạnh có độ dài là a. Gọi E và F là các điểm xác định bởi BE = 1/3.BC, CF = -1/2.CD, đường thẳng BF cắt đường thẳng AE tại điểm I.

Bài toán 3: Cho tam giác đều ABC và các điểm M, N, P thỏa mãn BM = k.BC, CN = 2/3.CA, AP = 4/15.AB. Tìm giá trị của k để AM vuông góc với PN.

File WORD (dành cho giáo viên) chứa đầy đủ nội dung của đề thi.

Đánh giá bài viết cho thầy/cô vui 

0 / 5 0

Your page rank:

Avatar of Phan Quang
       

Về tác giả : Phan Quang

Giáo viên Toán học xuất sắc, sinh năm 1985 tại Hà Nội. Tốt nghiệp Đại học Sư phạm Hà Nội với bằng cử nhân Toán học, thầy có hơn 10 năm kinh nghiệm giảng dạy cấp 2 và ôn thi vào 10. Năm 2024, thầy sáng lập website daygioi.com – nền tảng giáo dục trực tuyến miễn phí, cung cấp bài giảng video, bài tập tương tác và tài liệu ôn tập cho hàng ngàn học sinh Việt Nam. Với phong cách dạy gần gũi, sáng tạo, thầy luôn khơi dậy niềm đam mê Toán học qua ví dụ đời thường. Được phụ huynh và học sinh yêu mến, thầy là nguồn cảm hứng cho thế hệ giáo viên trẻ.

       

Xem nhiều bài của tác giả : Phan Quang