Đề thi chọn HSG cấp tỉnh lớp 12 môn Toán năm học 2017 2018 sở GD và ĐT Bình Phước

  • Đề HSG Toán 12

Đề thi chọn HSG cấp tỉnh Toán lớp 12 năm học 2017 – 2018 sở GD và ĐT Bình Phước

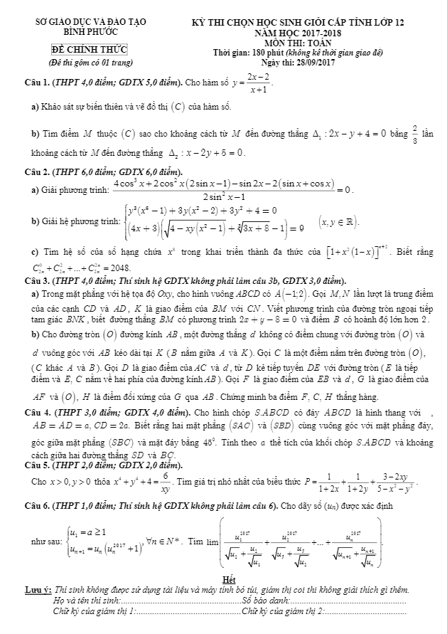
Đề thi chọn HSG cấp tỉnh Toán lớp 12 năm học 2017 – 2018 sở GD và ĐT Bình Phước là bài thi đầy thách thức với các bài toán phức tạp. Đề thi bao gồm 6 bài toán tự luận, với lời giải chi tiết và thang điểm, phù hợp cho cả học sinh khối lớp THPT và GDTX.

Trong đề thi, có một số bài toán khó như:

1. Bài toán về hình vuông ABCD trên mặt phẳng Oxy, với điểm A(-1; 2). Yêu cầu tìm phương trình của đường tròn ngoại tiếp tam giác BNK, biết các điều kiện về điểm và đường thẳng.

2. Bài toán liên quan đến đường tròn (O) và đường thẳng d, với điểm B nằm giữa A và K. Yêu cầu chứng minh ba điểm F, C, H thẳng hàng, với các điều kiện đã cho.

3. Bài toán về hình chóp S.ABCD có đáy ABCD là hình thang, với các điều kiện về góc và kích thước các cạnh. Yêu cầu tính thể tích của khối chóp và khoảng cách giữa hai đường thẳng SD và BC.

Đề thi chọn HSG Toán lớp 12 năm học 2017 – 2018 sở GD và ĐT Bình Phước không chỉ là cơ hội để học sinh thử sức mình, mà còn là dịp để phát triển khả năng tư duy, logic và giải quyết vấn đề của học sinh.

Đánh giá bài viết cho thầy/cô vui 

0 / 5 0

Your page rank:

Avatar of Phan Quang
       

Về tác giả : Phan Quang

Giáo viên Toán học xuất sắc, sinh năm 1985 tại Hà Nội. Tốt nghiệp Đại học Sư phạm Hà Nội với bằng cử nhân Toán học, thầy có hơn 10 năm kinh nghiệm giảng dạy cấp 2 và ôn thi vào 10. Năm 2024, thầy sáng lập website daygioi.com – nền tảng giáo dục trực tuyến miễn phí, cung cấp bài giảng video, bài tập tương tác và tài liệu ôn tập cho hàng ngàn học sinh Việt Nam. Với phong cách dạy gần gũi, sáng tạo, thầy luôn khơi dậy niềm đam mê Toán học qua ví dụ đời thường. Được phụ huynh và học sinh yêu mến, thầy là nguồn cảm hứng cho thế hệ giáo viên trẻ.

       

Xem nhiều bài của tác giả : Phan Quang