Đề thi chọn học sinh giỏi Toán THCS năm 2022 2023 sở GD ĐT Vĩnh Long

  • Đề HSG Toán 9

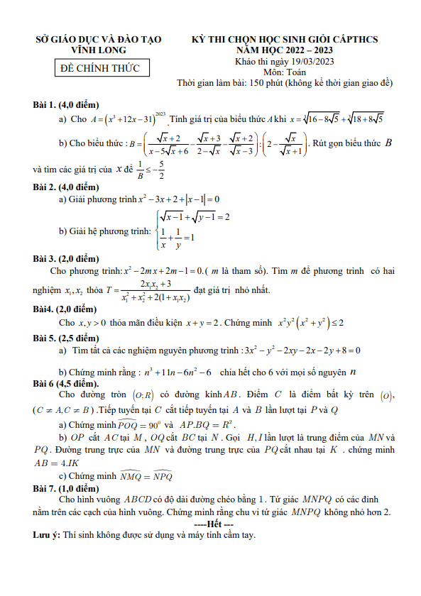
Đề thi chọn học sinh giỏi Toán THCS năm 2022 – 2023 sở GD&ĐT Vĩnh Long

Xin chào quý thầy cô và các em học sinh lớp 9! Hôm nay, Sytu xin giới thiệu đến mọi người đề thi chọn học sinh giỏi Toán cấp tỉnh lớp 9 THCS năm học 2022 – 2023 do Sở Giáo dục và Đào tạo tỉnh Vĩnh Long tổ chức. Kỳ thi sẽ diễn ra vào ngày 19 tháng 03 năm 2023.

Đề thi sẽ bao gồm các câu hỏi đa dạng, có đáp án, lời giải chi tiết và hướng dẫn chấm điểm. Một số câu hỏi mẫu trong đề thi bao gồm:

+ Cho đường tròn có đường kính AB và điểm C là điểm bất kỳ trên đường tròn. Tiếp tuyến tại C cắt tiếp tuyến tại A và B lần lượt tại P và Q. Nhiệm vụ của em là chứng minh một số tính chất của tam giác POQ và APBQ.

+ Đề thi cũng sẽ đưa ra các bài toán về hình vuông và phương trình. Ví dụ: một bài toán đưa ra hình vuông ABCD có độ dài đường chéo bằng 1 và yêu cầu chứng minh chu vi tứ giác MNPQ không nhỏ hơn 2.

Đây là những ví dụ cụ thể chỉ ra sự đa dạng và thú vị của đề thi. Hy vọng rằng đề thi sẽ giúp các em học sinh rèn luyện và phát triển kỹ năng Toán của mình.

Đánh giá bài viết cho thầy/cô vui 

0 / 5 0

Your page rank:

Avatar of Phan Quang
       

Về tác giả : Phan Quang

Giáo viên Toán học xuất sắc, sinh năm 1985 tại Hà Nội. Tốt nghiệp Đại học Sư phạm Hà Nội với bằng cử nhân Toán học, thầy có hơn 10 năm kinh nghiệm giảng dạy cấp 2 và ôn thi vào 10. Năm 2024, thầy sáng lập website daygioi.com – nền tảng giáo dục trực tuyến miễn phí, cung cấp bài giảng video, bài tập tương tác và tài liệu ôn tập cho hàng ngàn học sinh Việt Nam. Với phong cách dạy gần gũi, sáng tạo, thầy luôn khơi dậy niềm đam mê Toán học qua ví dụ đời thường. Được phụ huynh và học sinh yêu mến, thầy là nguồn cảm hứng cho thế hệ giáo viên trẻ.

       

Xem nhiều bài của tác giả : Phan Quang