Đề thi chọn học sinh giỏi lớp 9 môn Toán năm 2022 2023 phòng GD ĐT Thái Bình

  • Đề HSG Toán 9

Đề thi chọn học sinh giỏi lớp 9 môn Toán năm 2022-2023 phòng GD ĐT Thái Bình

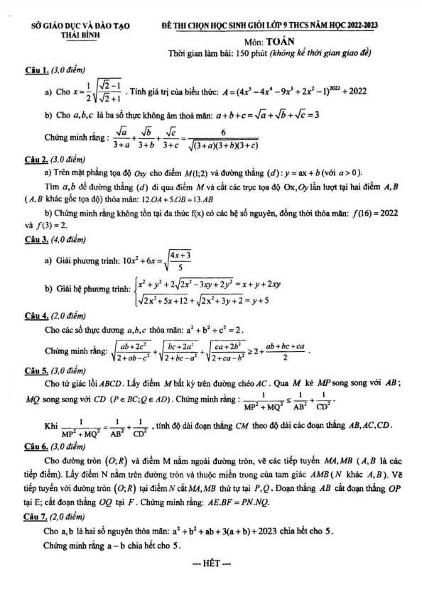
Chào quý thầy cô và các em học sinh lớp 9. Đây là đề thi chọn học sinh giỏi môn Toán lớp 9 THCS năm học 2022-2023 do phòng Giáo dục và Đào tạo tỉnh Thái Bình tổ chức. Đề thi gồm 1 trang với 7 bài toán dạng tự luận, thời gian làm bài 150 phút. Kỳ thi sẽ diễn ra vào ngày … tháng 12 năm 2022.

Trích dẫn một số câu hỏi từ Đề thi chọn học sinh giỏi Toán lớp 9 năm 2022-2023 phòng GD&ĐT Thái Bình:

1. Trên mặt phẳng tọa độ Oxy, cho điểm M(1;2) và đường thẳng (d): y = ax + b (với a > 0). Tìm a, b sao cho đường thẳng (d) đi qua điểm M và cắt các trục tọa độ Ox, Oy lần lượt tại hai điểm A, B (A, B khác gốc tọa độ) sao cho 12.OA + 5.OB = 13.AB.

2. Chứng minh rằng không tồn tại đa thức f(x) có các hệ số nguyên, với f(16) = 2022 và f(3) = 2.

3. Cho tứ giác lồi ABCD. Lấy điểm M bất kỳ trên đường chéo AC. Qua M kẻ MP song song với AB; MQ song song với CD (P thuộc BC; Q thuộc AD). Chứng minh rằng 1/(MP² + MQ²)

4. Cho đường tròn (O;R) và điểm M nằm ngoài đường tròn. Vẽ các tiếp tuyến MA, MB (A, B là các tiếp điểm). Lấy điểm N nằm trên đường tròn và thuộc miền trong của tam giác AMB (N khác A, B). Vẽ tiếp tuyến với đường tròn (O;R) tại điểm N cắt MA, MB tại P, Q. Đoạn thẳng AB cắt đoạn thẳng OP tại E; cắt đoạn thẳng OQ tại F. Chứng minh rằng: AE.BF = PN.NQ.

Đánh giá bài viết cho thầy/cô vui 

0 / 5 0

Your page rank:

Avatar of Phan Quang
       

Về tác giả : Phan Quang

Giáo viên Toán học xuất sắc, sinh năm 1985 tại Hà Nội. Tốt nghiệp Đại học Sư phạm Hà Nội với bằng cử nhân Toán học, thầy có hơn 10 năm kinh nghiệm giảng dạy cấp 2 và ôn thi vào 10. Năm 2024, thầy sáng lập website daygioi.com – nền tảng giáo dục trực tuyến miễn phí, cung cấp bài giảng video, bài tập tương tác và tài liệu ôn tập cho hàng ngàn học sinh Việt Nam. Với phong cách dạy gần gũi, sáng tạo, thầy luôn khơi dậy niềm đam mê Toán học qua ví dụ đời thường. Được phụ huynh và học sinh yêu mến, thầy là nguồn cảm hứng cho thế hệ giáo viên trẻ.

       

Xem nhiều bài của tác giả : Phan Quang