Đề thi chọn học sinh giỏi lớp 9 môn Toán năm 2022 2023 phòng GD ĐT Bến Tre

  • Đề HSG Toán 9

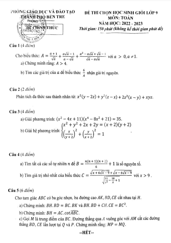
Đề thi chọn học sinh giỏi lớp 9 môn Toán năm 2022-2023 tại Bến Tre

Sytu xin gửi đến quý thầy cô giáo và các em học sinh lớp 9 đề thi chọn học sinh giỏi môn Toán năm học 2022-2023 do Phòng Giáo dục và Đào tạo thành phố Bến Tre tổ chức. Đề thi bao gồm 01 trang với 05 bài toán dạng tự luận, thời gian làm bài là 150 phút. Kỳ thi sẽ diễn ra vào ngày … tháng 12 năm 2022.

Đây là một số câu hỏi trong đề thi:

  1. Bài 1: Cho biểu thức A = … a) Chứng minh rằng A > 4. b) Tìm các giá trị của a để biểu thức 6/A nhận giá trị nguyên.
  2. Bài 2: Tìm tất cả các số tự nhiên n sao cho biểu thức B = n(n + 1)(n + 2)/6 + 1 là số nguyên tố.
  3. Bài 3: Cho tam giác ABC có ba góc nhọn và ba đường cao AK, BD, CE cắt nhau tại H. a) Chứng minh BH.BD = BC.BK và BH.BD + CH.CE = BC². b) Chứng minh BH = AC.cotABC. c) Gọi M là trung điểm của BC. Đường thẳng qua A và vuông góc với AM cắt BD, CE lần lượt tại Q, P. Chứng minh rằng MP = MQ.

Hy vọng rằng đề thi sẽ là cơ hội để các em học sinh thể hiện khả năng và kiến thức của mình trong môn Toán. Chúc các em thi tốt!

Đánh giá bài viết cho thầy/cô vui 

0 / 5 0

Your page rank:

Avatar of Phan Quang
       

Về tác giả : Phan Quang

Giáo viên Toán học xuất sắc, sinh năm 1985 tại Hà Nội. Tốt nghiệp Đại học Sư phạm Hà Nội với bằng cử nhân Toán học, thầy có hơn 10 năm kinh nghiệm giảng dạy cấp 2 và ôn thi vào 10. Năm 2024, thầy sáng lập website daygioi.com – nền tảng giáo dục trực tuyến miễn phí, cung cấp bài giảng video, bài tập tương tác và tài liệu ôn tập cho hàng ngàn học sinh Việt Nam. Với phong cách dạy gần gũi, sáng tạo, thầy luôn khơi dậy niềm đam mê Toán học qua ví dụ đời thường. Được phụ huynh và học sinh yêu mến, thầy là nguồn cảm hứng cho thế hệ giáo viên trẻ.

       

Xem nhiều bài của tác giả : Phan Quang