-
Đề HSG Toán 12
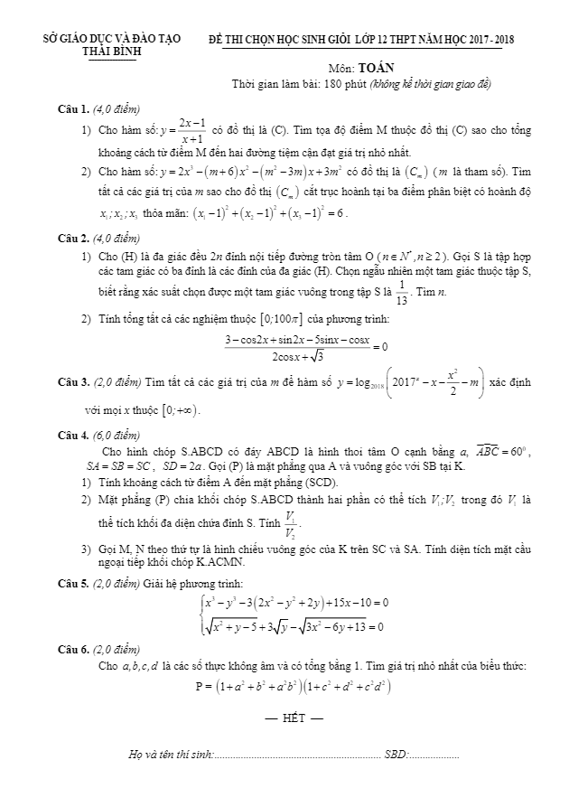
Đề thi chọn học sinh giỏi Toán lớp 12 THPT năm học 2017 – 2018
Đề thi chọn học sinh giỏi Toán lớp 12 THPT năm học 2017 – 2018 của sở GD và ĐT Thái Bình bao gồm 6 bài toán tự luận. Đề thi có lời giải chi tiết và thang điểm để giúp học sinh hiểu rõ bài toán và cách giải.
Trong đề thi, có một trong những bài toán sau:
-
Cho hàm số: y = (2x – 1)/(x + 1) có đồ thị là (C). Hãy tìm tọa độ điểm M thuộc đồ thị (C) sao cho tổng khoảng cách từ điểm M đến hai đường tiệm cận đạt giá trị nhỏ nhất.
-
Cho (H) là đa giác đều 2n đỉnh nội tiếp đường tròn tâm O (n ∈ N*, n ≥ 2). Gọi S là tập hợp các tam giác có ba đỉnh là các đỉnh của đa giác (H). Chọn ngẫu nhiên một tam giác thuộc tập S, biết rằng xác suất chọn được một tam giác vuông trong tập S là 1/13. Hãy tìm giá trị của n.
-
Cho hình chóp S.ABCD có đáy ABCD là hình thoi tâm O cạnh bằng a, góc ABC = 60 độ, SA = SB = SC, SD = 2a. (P) là mặt phẳng qua A và vuông góc với SB tại K.
- Tính khoảng cách từ điểm A đến mặt phẳng (SCD).
- Tìm tỷ lệ thể tích giữa hai phần của khối chóp S.ABCD bởi mặt phẳng (P) sao cho V1 chứa đỉnh S.
- Tính diện tích mặt cầu ngoại tiếp khối chóp K.ACMN với M, N là hình chiếu của K trên SC và SA.
Các bài toán trong đề thi đều đòi hỏi kiến thức sâu rộng và khả năng suy luận logic của học sinh. Đây là cơ hội để các em thử thách bản thân và phát triển kỹ năng trong môn Toán.