Đề thi chọn học sinh giỏi lớp 12 môn Toán THPT năm 2020 2021 sở GD ĐT Hà Nội

  • Đề HSG Toán 12

Đề thi chọn học sinh giỏi Toán lớp 12 THPT năm 2020 – 2021 sở GD&ĐT Hà Nội

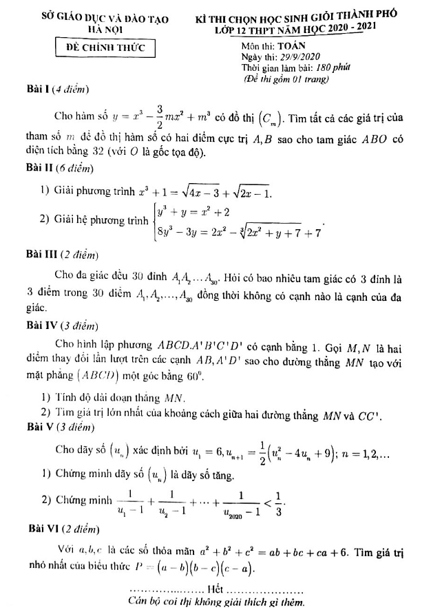
Sáng thứ Ba ngày 29 tháng 09 năm 2020, Sở Giáo dục và Đào tạo thành phố Hà Nội đã tổ chức kỳ thi chọn học sinh giỏi cấp thành phố lớp 12 THPT năm học 2020 – 2021 môn thi Toán. Đề thi bao gồm 6 bài toán dạng tự luận, có thời gian làm bài trong 180 phút. Dưới đây là một số câu hỏi đáng chú ý từ đề thi:

+ Cho hàm số y = x^3 – 3/2mx^2 + m^3 có đồ thị (C). Hỏi tìm tất cả các giá trị của tham số m sao cho đồ thị hàm số có hai điểm cực trị A, B sao cho tam giác ABO có diện tích bằng 32 (với O là gốc tọa độ).

+ Cho đa giác đều 30 đỉnh A1, A2 … A30. Xác định số tam giác có 3 đỉnh là 3 điểm trong 30 điểm A1, A2 … A30 đồng thời không có cạnh nào là cạnh của đa giác.

+ Trong hình lập phương ABCD.A’B’C’D’ có cạnh bằng 1, gọi M, N là hai điểm thay đổi lần lượt trên các cạnh AB, A’D’ sao cho đường thẳng MN tạo với mặt phẳng (ABCD) một góc bằng 60 độ. Yêu cầu: 1) Tính độ dài đoạn thẳng MN. 2) Tìm giá trị lớn nhất của khoảng cách giữa hai đường thẳng MN và CC’.

Đánh giá bài viết cho thầy/cô vui 

0 / 5 0

Your page rank:

Avatar of Phan Quang
       

Về tác giả : Phan Quang

Giáo viên Toán học xuất sắc, sinh năm 1985 tại Hà Nội. Tốt nghiệp Đại học Sư phạm Hà Nội với bằng cử nhân Toán học, thầy có hơn 10 năm kinh nghiệm giảng dạy cấp 2 và ôn thi vào 10. Năm 2024, thầy sáng lập website daygioi.com – nền tảng giáo dục trực tuyến miễn phí, cung cấp bài giảng video, bài tập tương tác và tài liệu ôn tập cho hàng ngàn học sinh Việt Nam. Với phong cách dạy gần gũi, sáng tạo, thầy luôn khơi dậy niềm đam mê Toán học qua ví dụ đời thường. Được phụ huynh và học sinh yêu mến, thầy là nguồn cảm hứng cho thế hệ giáo viên trẻ.

       

Xem nhiều bài của tác giả : Phan Quang