Đề thi chọn đội tuyển dự thi HSG Quốc gia THPT 2018 môn Toán sở GD và ĐT Bắc Ninh

  • Đề HSG Toán 12

Đề thi chọn đội tuyển dự thi HSG Quốc gia THPT 2018 môn Toán sở GD và ĐT Bắc Ninh

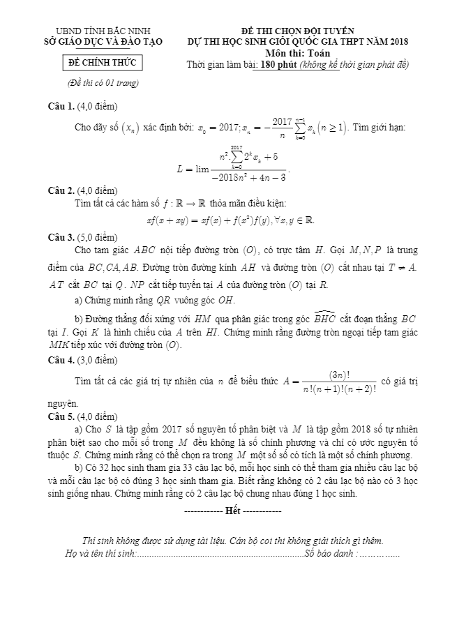
Đề thi chọn đội tuyển dự thi HSG Quốc gia THPT 2018 môn Toán sở GD và ĐT Bắc Ninh là bài thi có tính chất khó, đòi hỏi sự tỉ mỉ, logic và kiến thức sâu rộng từ các thí sinh. Đề thi gồm 5 bài toán tự luận, thời gian làm bài 180 phút, đề có lời giải chi tiết và thang điểm.

Trong đề thi, có một số bài toán khó như sau:

  1. Bài toán về tam giác ABC nội tiếp đường tròn (O) và các điểm trực tâm, trung điểm, hình chiếu. Thí sinh cần phải chứng minh và tính toán chính xác để giải quyết bài toán này.

  2. Bài toán về tập hợp S và M, yêu cầu chứng minh có thể chọn ra trong M một số có tích là một số chính phương. Đây là bài toán đòi hỏi sự suy luận logic và kiến thức vững chắc về số học.

  3. Bài toán về học sinh tham gia các câu lạc bộ, yêu cầu chứng minh có ít nhất 2 câu lạc bộ chung nhau đúng 1 học sinh. Đây là bài toán về tập hợp và tổ hợp, đòi hỏi thí sinh phải áp dụng các kiến thức lý thuyết vào thực tiễn.

Đề thi năm nay mang đến cho các thí sinh thách thức lớn và cơ hội để thể hiện năng lực, sự chuẩn bị kỹ lưỡng trước thi là cực kỳ quan trọng. Chúc các thí sinh sẽ đạt kết quả cao trong kỳ thi sắp tới!

Đánh giá bài viết cho thầy/cô vui 

0 / 5 0

Your page rank:

Avatar of Phan Quang
       

Về tác giả : Phan Quang

Giáo viên Toán học xuất sắc, sinh năm 1985 tại Hà Nội. Tốt nghiệp Đại học Sư phạm Hà Nội với bằng cử nhân Toán học, thầy có hơn 10 năm kinh nghiệm giảng dạy cấp 2 và ôn thi vào 10. Năm 2024, thầy sáng lập website daygioi.com – nền tảng giáo dục trực tuyến miễn phí, cung cấp bài giảng video, bài tập tương tác và tài liệu ôn tập cho hàng ngàn học sinh Việt Nam. Với phong cách dạy gần gũi, sáng tạo, thầy luôn khơi dậy niềm đam mê Toán học qua ví dụ đời thường. Được phụ huynh và học sinh yêu mến, thầy là nguồn cảm hứng cho thế hệ giáo viên trẻ.

       

Xem nhiều bài của tác giả : Phan Quang