Đề thi 8 tuần học kỳ I năm học 2017 2018 lớp 12 môn Toán trường THPT chuyên Lê Hồng Phong Nam Định

  • Đề giữa HK1 Toán 12

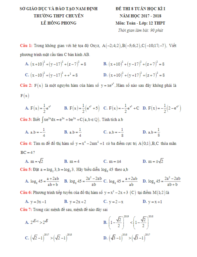
Đề thi 8 tuần học kỳ I năm học 2017 – 2018 môn Toán lớp 12 trường THPT chuyên Lê Hồng Phong – Nam Định

Đề thi gồm 6 trang với tổng cộng 50 câu hỏi trắc nghiệm, được thiết kế để kiểm tra kiến thức của học sinh sau 8 tuần học. Thời gian làm bài được xác định là 90 phút, đủ để học sinh có thời gian suy nghĩ và trả lời các câu hỏi một cách cẩn thận.

Đáp án và lời giải chi tiết được cung cấp sau đề thi, giúp học sinh tự kiểm tra và hiểu rõ lý do của câu trả lời đúng và sai. Điều này giúp học sinh nắm vững kiến thức, chuẩn bị tốt cho kỳ thi cuối kỳ.

Đánh giá bài viết cho thầy/cô vui 

0 / 5 0

Your page rank:

Avatar of Phan Quang
       

Về tác giả : Phan Quang

Giáo viên Toán học xuất sắc, sinh năm 1985 tại Hà Nội. Tốt nghiệp Đại học Sư phạm Hà Nội với bằng cử nhân Toán học, thầy có hơn 10 năm kinh nghiệm giảng dạy cấp 2 và ôn thi vào 10. Năm 2024, thầy sáng lập website daygioi.com – nền tảng giáo dục trực tuyến miễn phí, cung cấp bài giảng video, bài tập tương tác và tài liệu ôn tập cho hàng ngàn học sinh Việt Nam. Với phong cách dạy gần gũi, sáng tạo, thầy luôn khơi dậy niềm đam mê Toán học qua ví dụ đời thường. Được phụ huynh và học sinh yêu mến, thầy là nguồn cảm hứng cho thế hệ giáo viên trẻ.

       

Xem nhiều bài của tác giả : Phan Quang