Đề ôn tập lớp 11 môn Toán tháng 03 năm 2020 trường THPT chuyên Hà Nội – Amsterdam

  • Đề khảo sát Toán 11

Bộ đề ôn tập Toán lớp 11 tháng 03 năm 2020 trường THPT chuyên Hà Nội – Amsterdam

Trong bối cảnh ảnh hưởng của dịch bệnh vi-rút Corona (COVID-19), học sinh khối 11 trường THPT chuyên Hà Nội – Amsterdam đang gặp khó khăn trong việc tiếp thu kiến thức môn Toán do không thể đến trường. Để giúp học sinh tự ôn tập tại nhà, tổ Toán – Tin học trường THPT chuyên Hà Nội – Amsterdam đã biên soạn bộ đề ôn tập môn Toán lớp 11 cho giai đoạn tháng 03 năm 2020.

Bộ đề ôn tập này gồm có 07 trang với 03 đề, được lựa chọn kỹ càng từ các câu hỏi trắc nghiệm và tự luận từ cơ bản đến nâng cao, nhằm giúp học sinh khối 11 có thể tự ôn luyện một cách hiệu quả.

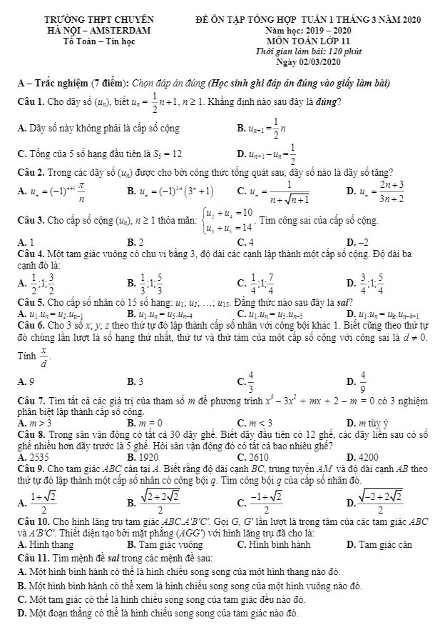
Trích dẫn một số câu hỏi trong đề ôn tập Toán lớp 11 tháng 03 năm 2020 trường THPT chuyên Hà Nội – Amsterdam:

+ Tìm mệnh đề sai trong các mệnh đề sau:
A. Một hình bình hành có thể là hình chiếu song song của một hình thang nào đó.
B. Một hình bình hành có thể xem là hình chiếu song song của một hình vuông nào đó.
C. Một tam giác có thể là hình chiếu song song của tam giác đều nào đó.
D. Một đoạn thẳng có thể là hình chiếu song song của tam giác nào đó.

+ Cho hình lăng trụ tam giác ABC.A’B’C’. Gọi G là trọng tâm của tam giác ABC. a) Xác định giao điểm I của A’G với mặt phẳng (AB’C’)? Tính IA’:IG? b) Gọi (P) là mặt phẳng qua G và song song với mặt phẳng (AB’C’). Xác định thiết diện của hình lăng trụ bị cắt bởi mặt phẳng (P)? c) Biết tam giác AB’C’ là tam giác đều cạnh a, tính diện tích thiết diện ở trên? d) Gọi (d) và (d’) lần lượt là giao tuyến của mp (P) với mp (ABB’A’) và mp (ACC’A’). Chứng minh rằng d, d’, AA’ đồng qui.

+ Cho hình chóp tứ giác đều S.ABCD đỉnh S, cạnh đáy của hình chóp có độ dài bằng 2, chiều cao bằng h. Gọi C1(O; r) là hình cầu tâm O bán kính r nội tiếp hình chóp; gọi C2(K; R) là hình cầu tâm K bán kính R tiếp xúc với 8 cạnh của hình chóp. Biết rằng khoảng cách từ O đến mặt phẳng (ABCD) bằng khoảng cách từ K đến mặt phẳng (ABCD). 1. Chứng minh rằng r = (√(1 + h^2) − 1)/h. 2. Tính giá trị của h, từ đó suy ra thể tích của hình chóp.

Thông qua bộ đề ôn tập này, hy vọng học sinh khối 11 trường THPT chuyên Hà Nội – Amsterdam sẽ có cơ hội ôn tập Toán và nắm vững kiến thức một cách tự tin, chuẩn bị tốt nhất cho kỳ thi sắp tới.

Đánh giá bài viết cho thầy/cô vui 

0 / 5 0

Your page rank:

Avatar of Phan Quang
       

Về tác giả : Phan Quang

Giáo viên Toán học xuất sắc, sinh năm 1985 tại Hà Nội. Tốt nghiệp Đại học Sư phạm Hà Nội với bằng cử nhân Toán học, thầy có hơn 10 năm kinh nghiệm giảng dạy cấp 2 và ôn thi vào 10. Năm 2024, thầy sáng lập website daygioi.com – nền tảng giáo dục trực tuyến miễn phí, cung cấp bài giảng video, bài tập tương tác và tài liệu ôn tập cho hàng ngàn học sinh Việt Nam. Với phong cách dạy gần gũi, sáng tạo, thầy luôn khơi dậy niềm đam mê Toán học qua ví dụ đời thường. Được phụ huynh và học sinh yêu mến, thầy là nguồn cảm hứng cho thế hệ giáo viên trẻ.

       

Xem nhiều bài của tác giả : Phan Quang