Đề Olympic lớp 11 môn Toán năm 2019 cụm trường THPT Hà Đông – Hoài Đức – Hà Nội

  • Đề HSG Toán 11

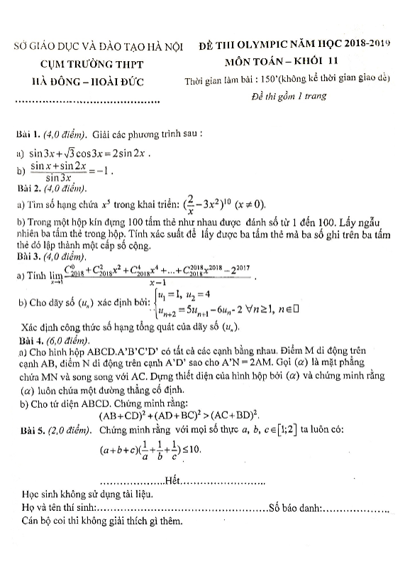
Đề Olympic Toán lớp 11 năm 2019 cụm trường THPT Hà Đông – Hoài Đức – Hà Nội

Sytu xin giới thiệu đến bạn đọc đề thi Olympic Toán lớp 11 năm học 2018 – 2019 cụm trường THPT Hà Đông – Hoài Đức – Hà Nội. Đề thi bao gồm 5 bài toán dạng tự luận trên 1 trang, với thang điểm 20 điểm và thời gian làm bài là 150 phút.

Một trong những bài toán trong đề thi là: Trong một hộp kín có 100 tấm thẻ như nhau được đánh số từ 1 đến 100. Ngẫu nhiên lấy ba tấm thẻ từ hộp. Hỏi xác suất để ba số trên ba tấm thẻ đó tạo thành một cấp số cộng là bao nhiêu?

Bên cạnh đó, còn có bài toán khác về hình hộp ABCD.A’B’C’D’ có tất cả các cạnh bằng nhau. Điểm M di chuyển trên cạnh AB, điểm N di chuyển trên cạnh A’D’ sao cho A’N = 2AM. Hãy chứng minh rằng mặt phẳng chứa MN và song song với AC luôn chứa một đường thẳng cố định.

Cuối cùng, bài toán cuối cùng yêu cầu chứng minh rằng: (AB + CD)^2 + (AD + BC)^2 > (AC + BD)^2. Đây là một bài toán thú vị và đòi hỏi sự logic và kiến thức toán học của học sinh.

Thông qua đề thi Olympic Toán lớp 11 năm 2019 cụm trường THPT Hà Đông – Hoài Đức – Hà Nội, học sinh sẽ được thách thức và phát triển khả năng tư duy logic, giải quyết vấn đề, và sử dụng kiến thức toán học một cách linh hoạt và sáng tạo.

Đánh giá bài viết cho thầy/cô vui 

0 / 5 0

Your page rank:

Avatar of Phan Quang
       

Về tác giả : Phan Quang

Giáo viên Toán học xuất sắc, sinh năm 1985 tại Hà Nội. Tốt nghiệp Đại học Sư phạm Hà Nội với bằng cử nhân Toán học, thầy có hơn 10 năm kinh nghiệm giảng dạy cấp 2 và ôn thi vào 10. Năm 2024, thầy sáng lập website daygioi.com – nền tảng giáo dục trực tuyến miễn phí, cung cấp bài giảng video, bài tập tương tác và tài liệu ôn tập cho hàng ngàn học sinh Việt Nam. Với phong cách dạy gần gũi, sáng tạo, thầy luôn khơi dậy niềm đam mê Toán học qua ví dụ đời thường. Được phụ huynh và học sinh yêu mến, thầy là nguồn cảm hứng cho thế hệ giáo viên trẻ.

       

Xem nhiều bài của tác giả : Phan Quang