Đề lập đội tuyển thi HSG Toán Quốc gia năm 2020 2021 sở GD ĐT Bình Định

  • Đề HSG Toán 12

Đề lập đội tuyển thi HSG Toán Quốc gia năm 2020 – 2021 sở GD&ĐT Bình Định

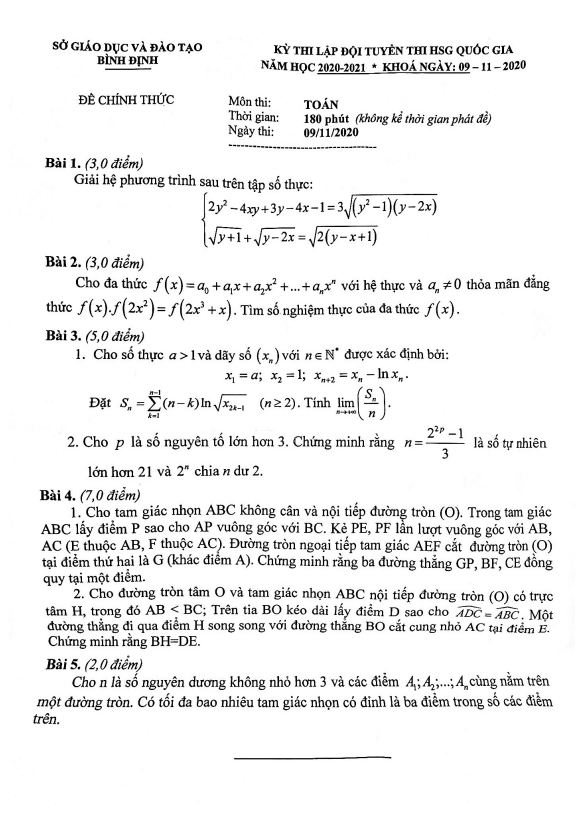
Ngày 09 tháng 11 năm 2020, sở Giáo dục và Đào tạo tỉnh Bình Định đã tổ chức kỳ thi lập đội tuyển tham dự kỳ thi học sinh giỏi Toán cấp Quốc gia năm học 2020 – 2021. Đề lập đội tuyển thi HSG Toán Quốc gia năm 2020 – 2021 sở GD&ĐT Bình Định bao gồm một trang đề với 5 bài toán tự luận, thời gian làm bài là 180 phút.

Trong đó, một trong những bài toán được trích dẫn từ đề lập đội tuyển là: Trong tam giác nhọn ABC không cân và nội tiếp đường tròn (O), điểm P được chọn sao cho AP vuông góc với BC. Từ điểm P kẻ PE, PF lần lượt vuông góc với AB, AC (E thuộc AB, F thuộc AC). Đường tròn ngoại tiếp tam giác AEF cắt đường tròn (O) tại điểm thứ hai là G (khác điểm A). Bài toán yêu cầu chứng minh rằng ba đường thẳng GP, BF, CE đồng quy tại một điểm.

Bên cạnh đó, bài toán khác trong đề lập đội tuyển là: Đường tròn tâm O và tam giác nhọn ABC nội tiếp đường tròn (O), có trực tâm H, trong đó AB

Bài toán cuối cùng trong đề lập đội tuyển là: Cho n là số nguyên dương không nhỏ hơn 3 và các điểm A1, A2 … An cùng nằm trên một đường tròn. Sinh viên cần tìm số lượng tối đa tam giác nhọn có đỉnh là ba điểm trong số các điểm trên đường tròn.

Đánh giá bài viết cho thầy/cô vui 

0 / 5 0

Your page rank:

Avatar of Phan Quang
       

Về tác giả : Phan Quang

Giáo viên Toán học xuất sắc, sinh năm 1985 tại Hà Nội. Tốt nghiệp Đại học Sư phạm Hà Nội với bằng cử nhân Toán học, thầy có hơn 10 năm kinh nghiệm giảng dạy cấp 2 và ôn thi vào 10. Năm 2024, thầy sáng lập website daygioi.com – nền tảng giáo dục trực tuyến miễn phí, cung cấp bài giảng video, bài tập tương tác và tài liệu ôn tập cho hàng ngàn học sinh Việt Nam. Với phong cách dạy gần gũi, sáng tạo, thầy luôn khơi dậy niềm đam mê Toán học qua ví dụ đời thường. Được phụ huynh và học sinh yêu mến, thầy là nguồn cảm hứng cho thế hệ giáo viên trẻ.

       

Xem nhiều bài của tác giả : Phan Quang