-
Đề HSG Toán 8
Đề Kiểm Tra Chất Lượng Mũi Nhọn Lớp 8 Toán Năm 2021-2022
Xin chào quý thầy cô và các em học sinh lớp 8! Sytu xin giới thiệu đến các bạn đề khảo sát chất lượng mũi nhọn học sinh lớp 8 cấp huyện môn Toán cho năm học 2021-2022 của phòng Giáo dục và Đào tạo huyện Nông Cống, tỉnh Thanh Hóa.
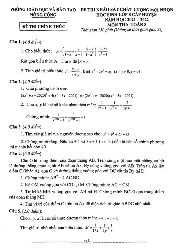
Trích dẫn đề KSCL mũi nhọn Toán lớp 8 năm 2021-2022 phòng GD&ĐT Nông Cống – Thanh Hóa:
1. Chứng minh rằng: Nếu 2n + 1 và 3n + 1 (với n thuộc tập số tự nhiên) đều là các số chính phương thì n phải chia hết cho 40.
2. Cho O là trung điểm của đoạn thẳng AB. Trên cùng một nửa mặt phẳng có bờ là đường thẳng chứa cạnh AB, vẽ tia Ax, By cùng vuông góc với AB. Trên tia Ax lấy điểm C (khác A), qua O kẻ đường thẳng vuông góc với OC cắt tia By tại D.
- Chứng minh: AB2 = 4AC.BD.
- Kẻ OM vuông góc với CD tại M. Chứng minh: AC = CM.
- Từ M kẻ MH vuông góc với AB tại H. Chứng minh BC đi qua trung điểm của đoạn thẳng MH.
- Tìm vị trí của điểm C trên tia Ax để diện tích tứ giác ABDC nhỏ nhất.
3. Cho x, y, z là các số thực dương thỏa mãn: x + y + z = 1. Hãy tìm giá trị nhỏ nhất của biểu thức M.
Mong rằng đề kiểm tra này sẽ giúp các em rèn luyện kiến thức và kỹ năng giải bài toán một cách thành thạo. Chúc các em thành công!