Đề KSCL lớp 9 môn Toán năm 2021 2022 phòng GD ĐT Phú Xuyên Hà Nội

  • Đề khảo sát Toán 9

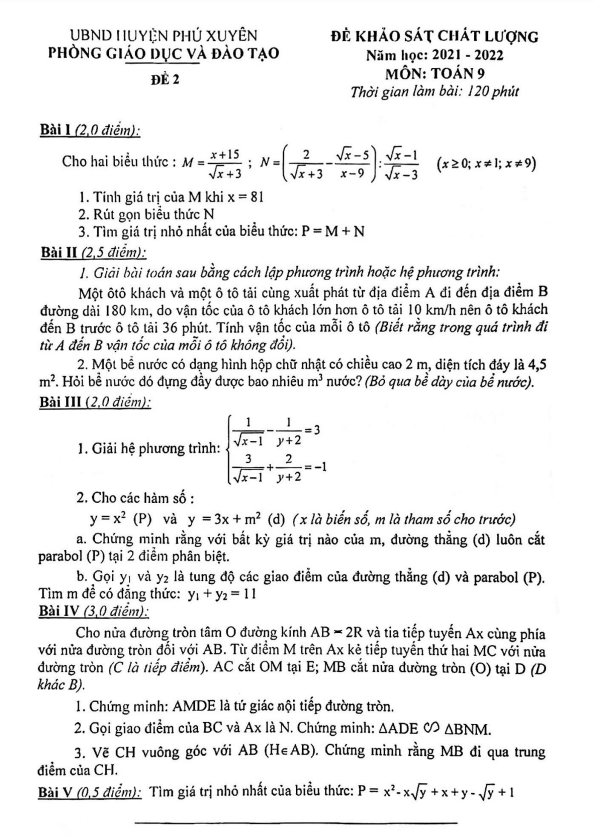
Đề KSCL lớp 9 môn Toán năm 2021-2022 Phòng GD ĐT Phú Xuyên Hà Nội

Sytu xin gửi đến quý thầy cô và các em học sinh lớp 9 đề khảo sát chất lượng môn Toán năm học 2021-2022 của Phòng Giáo dục và Đào tạo Phú Xuyên, Hà Nội.

Đề bao gồm các bài toán sau:

  1. Giải bài toán: Một ô tô khách và một ô tô tải cùng đi từ A đến B, khoảng cách là 180 km. Vận tốc của ô tô khách nhanh hơn ô tô tải 10 km/h, ô tô khách đến B sớm hơn ô tô tải 36 phút. Hãy tính vận tốc của mỗi ô tô.
  2. Cho hình hộp chữ nhật có chiều cao 2 m, diện tích đáy 4.5 m2. Tính thể tích của bể nước đó.
  3. Cho hàm số y = x^2 và y = 3x + m^2. Hãy chứng minh rằng đường thẳng (d) luôn cắt parabol (P) tại 2 điểm phân biệt với m bất kỳ. Tìm m để y1 + y2 = 11 với y1 và y2 là tung độ các giao điểm của (d) và (P).

Đề KSCL lớp 9 môn Toán năm 2021-2022 Phòng GD ĐT Phú Xuyên Hà Nội được thiết kế để kiểm tra kiến thức và kỹ năng của học sinh trong việc giải các bài toán và áp dụng kiến thức Toán vào thực tế. Hy vọng các em sẽ làm tốt bài thi!

Đánh giá bài viết cho thầy/cô vui 

0 / 5 0

Your page rank:

Avatar of Phan Quang
       

Về tác giả : Phan Quang

Giáo viên Toán học xuất sắc, sinh năm 1985 tại Hà Nội. Tốt nghiệp Đại học Sư phạm Hà Nội với bằng cử nhân Toán học, thầy có hơn 10 năm kinh nghiệm giảng dạy cấp 2 và ôn thi vào 10. Năm 2024, thầy sáng lập website daygioi.com – nền tảng giáo dục trực tuyến miễn phí, cung cấp bài giảng video, bài tập tương tác và tài liệu ôn tập cho hàng ngàn học sinh Việt Nam. Với phong cách dạy gần gũi, sáng tạo, thầy luôn khơi dậy niềm đam mê Toán học qua ví dụ đời thường. Được phụ huynh và học sinh yêu mến, thầy là nguồn cảm hứng cho thế hệ giáo viên trẻ.

       

Xem nhiều bài của tác giả : Phan Quang