Đề KSCL lớp 9 môn Toán lần 1 năm 2020 2021 phòng GD ĐT Yên Lạc Vĩnh Phúc

  • Đề khảo sát Toán 9

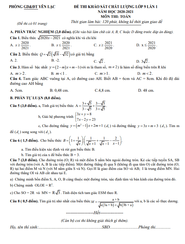
Đề KSCL Toán lớp 9 lần 1 năm 2020 – 2021 phòng GD&ĐT Yên Lạc – Vĩnh Phúc

Đề KSCL Toán lớp 9 lần 1 năm 2020 – 2021 phòng GD&ĐT Yên Lạc – Vĩnh Phúc là bài thi có cấu trúc kết hợp giữa trắc nghiệm và tự luận. Bài thi bao gồm 04 câu trắc nghiệm, chiếm 02 điểm và 04 câu tự luận, chiếm 08 điểm. Thời gian làm bài là 120 phút, đề thi đi kèm đáp án và lời giải chi tiết để học sinh tham khảo.

Hướng dẫn chấm đề KSCL Toán lớp 9 lần 1 năm 2020 – 2021 phòng GD&ĐT Yên Lạc – Vĩnh Phúc nhấn mạnh việc trình bày giải phải rõ ràng, đầy đủ các bước cần thiết. Học sinh được tự do sáng tạo trong giải pháp, as long as it is correct and follows the required steps, họ sẽ nhận được điểm tối đa.

Trong quá trình chấm bài, nếu học sinh mắc phải sai sót ở một bước nào đó, các bước sau liên quan sẽ không được tính điểm. Đối với các bài hình học, việc vẽ hình chính xác là bắt buộc để được tính điểm. Nếu không có hình vẽ chính xác, vấn đề liên quan đến hình sẽ không được điểm.

Điểm số được tính dựa trên tổng điểm của các ý, các câu, với sự chia nhỏ đến 0.25 điểm và không làm tròn. Quy trình chấm điểm được thực hiện nghiêm ngặt để đảm bảo công bằng và minh bạch cho tất cả học sinh tham gia kỳ thi.

Đánh giá bài viết cho thầy/cô vui 

0 / 5 0

Your page rank:

Avatar of Phan Quang
       

Về tác giả : Phan Quang

Giáo viên Toán học xuất sắc, sinh năm 1985 tại Hà Nội. Tốt nghiệp Đại học Sư phạm Hà Nội với bằng cử nhân Toán học, thầy có hơn 10 năm kinh nghiệm giảng dạy cấp 2 và ôn thi vào 10. Năm 2024, thầy sáng lập website daygioi.com – nền tảng giáo dục trực tuyến miễn phí, cung cấp bài giảng video, bài tập tương tác và tài liệu ôn tập cho hàng ngàn học sinh Việt Nam. Với phong cách dạy gần gũi, sáng tạo, thầy luôn khơi dậy niềm đam mê Toán học qua ví dụ đời thường. Được phụ huynh và học sinh yêu mến, thầy là nguồn cảm hứng cho thế hệ giáo viên trẻ.

       

Xem nhiều bài của tác giả : Phan Quang