-
Đề HSG Toán 7
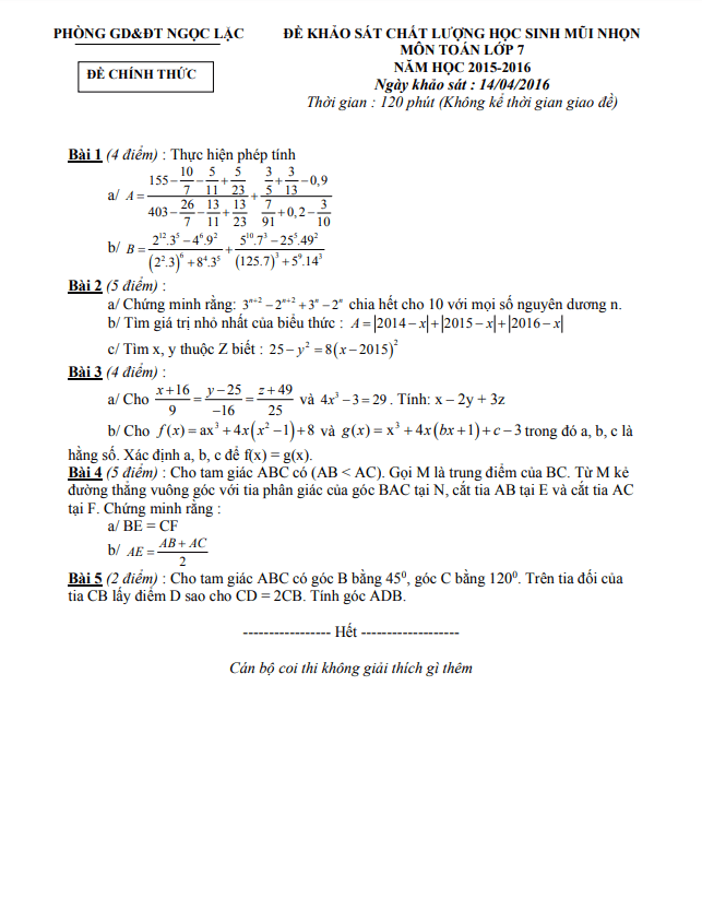
Đề KSCL học sinh mũi nhọn lớp 7 môn Toán năm 2015 – 2016 phòng GD ĐT Ngọc Lặc Thanh Hóa
Đề KSCL học sinh mũi nhọn Toán lớp 7 năm 2015 – 2016 phòng GD&ĐT Ngọc Lặc – Thanh Hóa là một bộ đề thi được tổ chức vào ngày 14 tháng 04 năm 2016. Đề thi này bao gồm nhiều câu hỏi đa dạng, thách thức để kiểm tra kiến thức và kỹ năng của các học sinh.
Trích dẫn một số câu hỏi từ đề thi:
- Cho tam giác ABC có (AB
- Cho tam giác ABC có góc B bằng 45 độ, góc C bằng 120 độ. Trên tia đối của tia CB lấy điểm D sao cho CD = 2CB. Hỏi góc ADB bằng bao nhiêu?
- Chứng minh rằng số nguyên dương n nào đó chia hết cho 10.
Đề KSCL này không chỉ đòi hỏi kiến thức căn bản mà còn đánh giá khả năng vận dụng, suy luận và logic của học sinh. Với đáp án và lời giải chi tiết, nó giúp học sinh hiểu rõ hơn về cách giải các bài toán và phương pháp làm bài.
Trong bài thi này, học sinh có cơ hội thể hiện khả năng giải quyết vấn đề, tư duy logic và kiên nhẫn. Đề thi không chỉ đánh giá kết quả cuối cùng mà còn đánh giá quá trình làm bài của học sinh.