Đề KSCL học sinh giỏi lớp 8 môn Toán năm 2022 2023 phòng GD ĐT Yên Mô Ninh Bình

  • Đề HSG Toán 8

Giới thiệu Đề KSCL học sinh giỏi lớp 8 môn Toán năm 2022-2023 phòng GD&ĐT Yên Mô, Ninh Bình

Chúng tôi xin giới thiệu đến quý thầy, cô giáo và các em học sinh lớp 8 đề khảo sát chất lượng học sinh giỏi môn Toán lớp 8 năm học 2022-2023 do phòng Giáo dục và Đào tạo UBND huyện Yên Mô, tỉnh Ninh Bình tổ chức. Đề thi bao gồm đáp án, lời giải chi tiết và bảng hướng dẫn chấm điểm.

Đề KSCL học sinh giỏi Toán lớp 8 năm 2022-2023 phòng GD&ĐT Yên Mô, Ninh Bình có các nội dung sau:

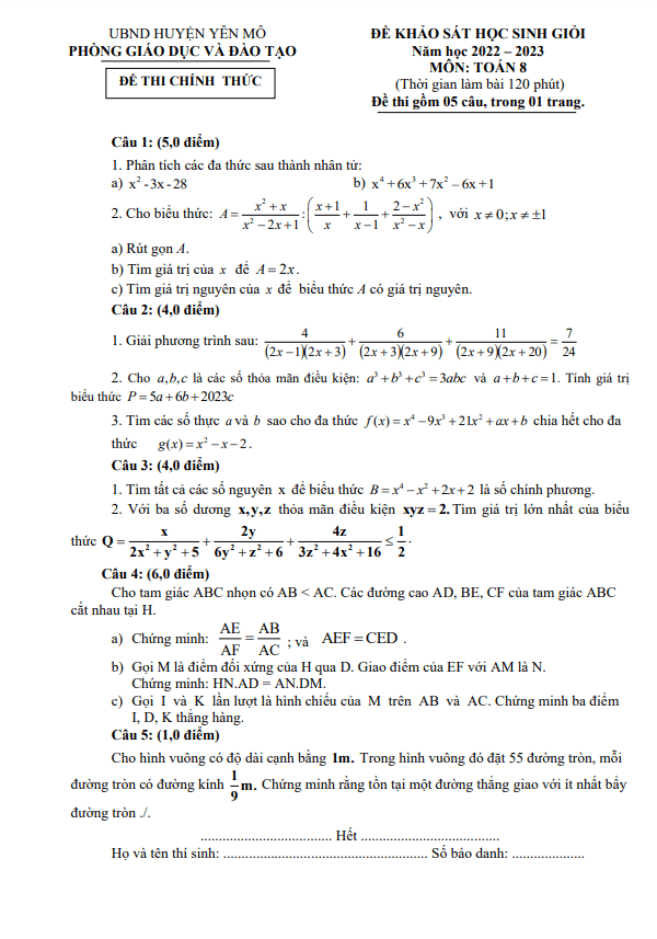
  • Cho tam giác ABC nhọn có AB
  • a) Chứng minh: AE AB AF AC và AEF CED.
  • b) Gọi M là điểm đối xứng của H qua D. Giao điểm của EF với AM là N. Chứng minh: HN.AD = AN.DM.
  • c) Gọi I và K lần lượt là hình chiếu của M trên AB và AC. Chứng minh ba điểm I, D, K thẳng hàng.
  • Cho hình vuông có độ dài cạnh bằng 1m. Trong hình vuông đó đặt 55 đường tròn, mỗi đường tròn có đường kính 1 m 9. Chứng minh rằng tồn tại một đường thẳng giao với ít nhất 7 đường tròn.
  • Tìm các số thực a và b sao cho đa thức 4x^3 + 2ax + b – 9x^2 + 21 chia hết cho đa thức 2x^2.
  • Nội dung Đề KSCL học sinh giỏi lớp 8 môn Toán năm 2022-2023 phòng GD&ĐT Yên Mô, Ninh Bình tổ chức nhằm kiểm tra và đánh giá năng lực toán học của học sinh lớp 8 trong khối giỏi. Qua đó, giúp các em rèn luyện kỹ năng làm bài thi và nắm vững kiến thức toán học.

    Đánh giá bài viết cho thầy/cô vui 

    0 / 5 0

    Your page rank:

    Avatar of Phan Quang
           

    Về tác giả : Phan Quang

    Giáo viên Toán học xuất sắc, sinh năm 1985 tại Hà Nội. Tốt nghiệp Đại học Sư phạm Hà Nội với bằng cử nhân Toán học, thầy có hơn 10 năm kinh nghiệm giảng dạy cấp 2 và ôn thi vào 10. Năm 2024, thầy sáng lập website daygioi.com – nền tảng giáo dục trực tuyến miễn phí, cung cấp bài giảng video, bài tập tương tác và tài liệu ôn tập cho hàng ngàn học sinh Việt Nam. Với phong cách dạy gần gũi, sáng tạo, thầy luôn khơi dậy niềm đam mê Toán học qua ví dụ đời thường. Được phụ huynh và học sinh yêu mến, thầy là nguồn cảm hứng cho thế hệ giáo viên trẻ.

           

    Xem nhiều bài của tác giả : Phan Quang