Đề KSCL giữa học kì 1 (HK1) lớp 11 môn Toán năm 2018 2019 trường THPT Bùi Thị Xuân TT. Huế

  • Đề giữa HK1 Toán 11

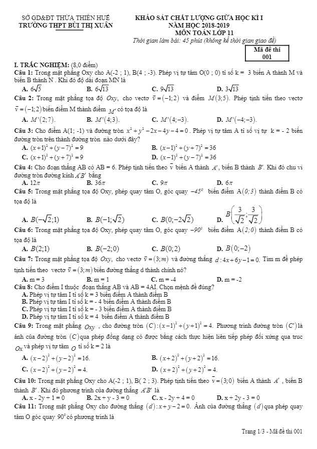
Bài thi Đề KSCL giữa học kỳ 1 môn Toán lớp 11 năm học 2018 – 2019 tại trường THPT Bùi Thị Xuân TT. Huế mã đề 001 rất đa dạng và phong phú với 24 câu hỏi trắc nghiệm và 1 bài toán tự luận. Đề thi được thiết kế để kiểm tra kiến thức và kỹ năng của học sinh sau một giai đoạn học tập.Một số câu hỏi trong đề thi gây khó khăn cho học sinh, như câu hỏi về phép vị tự tâm và phép quay tâm trong hình học không gian. Các câu hỏi này đòi hỏi sự tư duy logic và khả năng vận dụng kiến thức vào thực hành. Ngoài ra, đề thi cũng đề cập đến phương trình đường thẳng và phép tịnh tiến trong mặt phẳng toạ độ, giúp học sinh rèn luyện kỹ năng giải toán trong không gian.Đề thi có đáp án và lời giải chi tiết, giúp học sinh tự kiểm tra và cải thiện kiến thức của mình. Việc tổ chức kỳ thi định kỳ như vậy thúc đẩy học sinh ôn tập đều đặn và đề cao chất lượng học tập.Nhìn chung, Đề KSCL giữa HK1 Toán lớp 11 năm học 2018 – 2019 tại trường THPT Bùi Thị Xuân TT. Huế là một bài kiểm tra đa dạng và kỹ lưỡng, giúp học sinh phát triển kiến thức và kỹ năng toán học một cách toàn diện.

Đánh giá bài viết cho thầy/cô vui 

0 / 5 0

Your page rank:

Avatar of Phan Quang
       

Về tác giả : Phan Quang

Giáo viên Toán học xuất sắc, sinh năm 1985 tại Hà Nội. Tốt nghiệp Đại học Sư phạm Hà Nội với bằng cử nhân Toán học, thầy có hơn 10 năm kinh nghiệm giảng dạy cấp 2 và ôn thi vào 10. Năm 2024, thầy sáng lập website daygioi.com – nền tảng giáo dục trực tuyến miễn phí, cung cấp bài giảng video, bài tập tương tác và tài liệu ôn tập cho hàng ngàn học sinh Việt Nam. Với phong cách dạy gần gũi, sáng tạo, thầy luôn khơi dậy niềm đam mê Toán học qua ví dụ đời thường. Được phụ huynh và học sinh yêu mến, thầy là nguồn cảm hứng cho thế hệ giáo viên trẻ.

       

Xem nhiều bài của tác giả : Phan Quang