Đề KSCL đội tuyển HSG lớp 11 môn Toán năm 2018 – 2019 trường Yên Lạc 2 – Vĩnh Phúc

  • Đề HSG Toán 11

Đề KSCL đội tuyển HSG Toán lớp 11 năm 2018 – 2019 trường Yên Lạc 2 – Vĩnh Phúc

Đề thi KSCL đội tuyển HSG Toán lớp 11 năm 2018 – 2019 trường Yên Lạc 2 – Vĩnh Phúc được thiết kế để kiểm tra năng lực Toán của học sinh khối 11 trong đội tuyển học sinh giỏi Toán của trường sau quá trình bồi dưỡng. Đây là bước chuẩn bị cuối cùng trước khi học sinh tham dự kỳ thi học sinh giỏi Toán lớp 11 tỉnh Vĩnh Phúc.

Đề thi được biên soạn với 08 bài toán tự luận, bao gồm đầy đủ kiến thức Toán lớp 11 mà học sinh đã học trước đó. Thời gian làm bài là 180 phút, đề thi đi kèm lời giải chi tiết và hệ thống thang điểm.

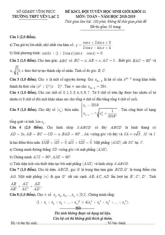
Trích dẫn một số câu hỏi trong đề KSCL đội tuyển HSG Toán lớp 11:

+ Cho các chữ số 0; 1; 2; 3; 4; 5; 6; 7. Từ 8 chữ số trên lập được bao nhiêu số tự nhiên có 8 chữ số đôi một khác nhau sao cho tổng 4 chữ số đầu bằng tổng 4 chữ số cuối.

+ Cho hình chóp S.ABCD có đáy ABCD là hình thang có các đoạn AD = 2a, AB = BC = CD = a, góc BAD = 60 độ, SA vuông góc với đáy và SA = a√3. M và I là hai điểm thỏa mãn 3MI + MS = 0, 4IS + 3ID = 0. Mặt phẳng (AMI) cắt SC tại N. a) Chứng minh đường thẳng SD vuông góc với mặt phẳng (AMI). b) Chứng minh góc ANI = 90 độ, góc AMI = 90 độ. c) Tính diện tích của thiết diện tạo bởi mặt phẳng (AMI) và hình chóp S.ABCD.

+ Cho tam giác ABC có BC = a, AB = c, AC = b. Biết góc BAC = 90 độ và a, b√2/3, c theo thứ tự tạo thành cấp số nhân. Tính số đo góc B, C.

Đánh giá bài viết cho thầy/cô vui 

0 / 5 0

Your page rank:

Avatar of Phan Quang
       

Về tác giả : Phan Quang

Giáo viên Toán học xuất sắc, sinh năm 1985 tại Hà Nội. Tốt nghiệp Đại học Sư phạm Hà Nội với bằng cử nhân Toán học, thầy có hơn 10 năm kinh nghiệm giảng dạy cấp 2 và ôn thi vào 10. Năm 2024, thầy sáng lập website daygioi.com – nền tảng giáo dục trực tuyến miễn phí, cung cấp bài giảng video, bài tập tương tác và tài liệu ôn tập cho hàng ngàn học sinh Việt Nam. Với phong cách dạy gần gũi, sáng tạo, thầy luôn khơi dậy niềm đam mê Toán học qua ví dụ đời thường. Được phụ huynh và học sinh yêu mến, thầy là nguồn cảm hứng cho thế hệ giáo viên trẻ.

       

Xem nhiều bài của tác giả : Phan Quang