Đề kiểm tra lớp 9 môn Toán năm 2020 2021 trường THCS Tam Khương Hà Nội

  • Đề khảo sát Toán 9

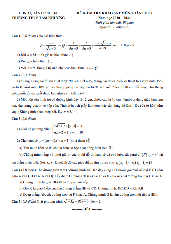
Đề kiểm tra Toán lớp 9 năm 2020 – 2021 trường THCS Tam Khương – Hà Nội

Xin chào quý thầy cô và các em học sinh! Hôm nay Sytu xin giới thiệu đến mọi người đề kiểm tra Toán lớp 9 năm học 2020 – 2021 của trường THCS Tam Khương – Hà Nội. Đề thi bao gồm đáp án, lời giải chi tiết và hướng dẫn chấm điểm, kỳ thi sẽ diễn ra vào thứ Bảy ngày 05 tháng 06 năm 2021.

Trích dẫn một số câu hỏi từ đề kiểm tra Toán lớp 9 năm 2020 – 2021 trường THCS Tam Khương – Hà Nội:

+ Một hộp sữa hình trụ có đường kính đáy là 12 cm, chiều cao là 10 cm. Người ta dùng giấy làm tem mác dán xung quanh vỏ hộp sữa. Hãy tính diện tích giấy làm tem mác cần dùng để làm 1 lốc sữa (6 hộp) như vậy (không tính phần mép nối, lấy pi = 3,14).

+ Cho hàm số y = m(x – 4)^2 + 4 (m là tham số).

a) Tìm m để hàm số đã cho là hàm số bậc nhất đồng biến trên R.

b) Chứng minh rằng với mọi giá trị của m thì đồ thị hàm số đã cho luôn cắt parabol y = x^2 tại hai điểm phân biệt. Gọi x1, x2 là hoành độ các giao điểm, tìm m sao cho x1*x2 = 18.

+ Cho đường tròn tâm O đường kính AB. Kẻ dây cung CD vuông góc với AB tại H (H nằm giữa A và O, H khác A và O). Lấy điểm G thuộc CH (G khác C và H), tia AG cắt đường tròn tại E khác A.

a) Chứng minh tứ giác BEGH là tứ giác nội tiếp.

b) Gọi K là giao điểm của hai đường thẳng BE và CD. Chứng minh: KC*KD = KE*KB.

c) Đoạn thẳng AK cắt đường tròn tại F khác A. Chứng minh G là tâm đường tròn nội tiếp HEF.

Hy vọng đề thi sẽ giúp các em học sinh ôn tập hiệu quả và chuẩn bị tốt cho kỳ thi sắp tới. Chúc các em thành công!

Đánh giá bài viết cho thầy/cô vui 

0 / 5 0

Your page rank:

Avatar of Phan Quang
       

Về tác giả : Phan Quang

Giáo viên Toán học xuất sắc, sinh năm 1985 tại Hà Nội. Tốt nghiệp Đại học Sư phạm Hà Nội với bằng cử nhân Toán học, thầy có hơn 10 năm kinh nghiệm giảng dạy cấp 2 và ôn thi vào 10. Năm 2024, thầy sáng lập website daygioi.com – nền tảng giáo dục trực tuyến miễn phí, cung cấp bài giảng video, bài tập tương tác và tài liệu ôn tập cho hàng ngàn học sinh Việt Nam. Với phong cách dạy gần gũi, sáng tạo, thầy luôn khơi dậy niềm đam mê Toán học qua ví dụ đời thường. Được phụ huynh và học sinh yêu mến, thầy là nguồn cảm hứng cho thế hệ giáo viên trẻ.

       

Xem nhiều bài của tác giả : Phan Quang