Đề kiểm tra học kì 1 (HK1) lớp 9 môn Toán năm 2020 2021 phòng GD ĐT Ba Đình Hà Nội

  • Đề HK1 Toán 9

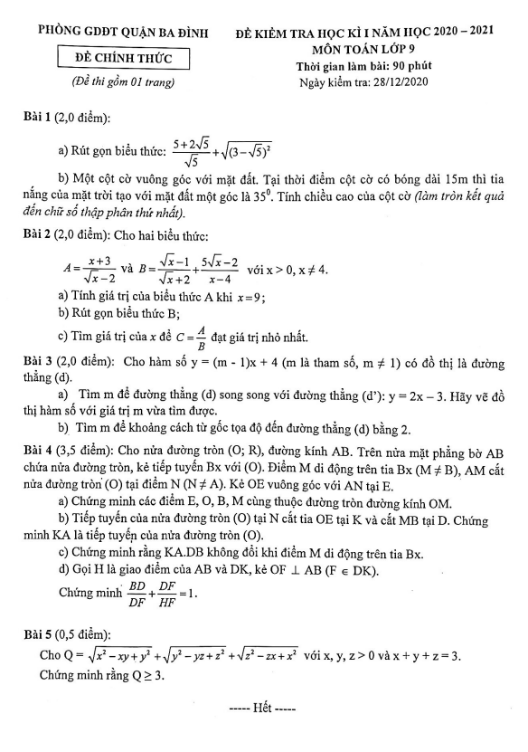
Kiểm tra học kì 1 Toán lớp 9 năm 2020 – 2021

Ngày 28 tháng 12 năm 2020, phòng Giáo dục và Đào tạo quận Ba Đình đã tổ chức kỳ thi kiểm tra chất lượng học tập môn Toán lớp 9 trong giai đoạn cuối của học kì 1 năm học 2020 – 2021.

Đề kiểm tra Toán lớp 9 năm 2020 – 2021 tại phòng GD&ĐT Ba Đình – Hà Nội được biên soạn theo hình thức đề tự luận. Đề bao gồm 5 bài toán trên 1 trang, với thời gian làm bài là 90 phút.

Đề kiểm tra bao gồm các bài toán như:

  1. Tính chiều cao của cột cờ khi biết bóng dài 15m và góc tạo bởi tia nắng với mặt đất là 35°.
  2. Tìm tham số m để đường thẳng y = (m – 1)x + 4 song song với đường thẳng y = 2x – 3, sau đó vẽ đồ thị hàm số.
  3. Chứng minh các điểm E, O, B, M cùng thuộc đường tròn có đường kính OM.
  4. Chứng minh rằng KA.DB không đổi khi điểm M di chuyển trên tia Bx, và chứng minh rằng BD/DF + DF/HF = 1.

Đề kiểm tra đã được soạn chi tiết và cụ thể, đảm bảo độ khó phù hợp với học sinh lớp 9. Hy vọng các em sẽ làm tốt bài thi và đạt kết quả cao!

Đánh giá bài viết cho thầy/cô vui 

0 / 5 0

Your page rank:

Avatar of Phan Quang
       

Về tác giả : Phan Quang

Giáo viên Toán học xuất sắc, sinh năm 1985 tại Hà Nội. Tốt nghiệp Đại học Sư phạm Hà Nội với bằng cử nhân Toán học, thầy có hơn 10 năm kinh nghiệm giảng dạy cấp 2 và ôn thi vào 10. Năm 2024, thầy sáng lập website daygioi.com – nền tảng giáo dục trực tuyến miễn phí, cung cấp bài giảng video, bài tập tương tác và tài liệu ôn tập cho hàng ngàn học sinh Việt Nam. Với phong cách dạy gần gũi, sáng tạo, thầy luôn khơi dậy niềm đam mê Toán học qua ví dụ đời thường. Được phụ huynh và học sinh yêu mến, thầy là nguồn cảm hứng cho thế hệ giáo viên trẻ.

       

Xem nhiều bài của tác giả : Phan Quang