Đề kiểm tra học kì 1 (HK1) lớp 9 môn Toán năm 2018 2019 phòng GD ĐT Hai Bà Trưng Hà Nội

  • Đề HK1 Toán 9

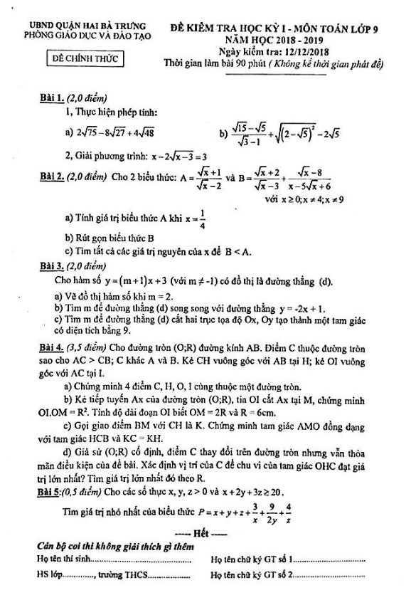
Đề kiểm tra học kỳ 1 Toán lớp 9 năm 2018 – 2019 phòng GD&ĐT Hai Bà Trưng Hà Nội

Ngày 12 tháng 12 năm 2018, kỳ kiểm tra học kỳ 1 môn Toán lớp 9 tại phòng GD&ĐT Hai Bà Trưng – Hà Nội đã diễn ra. Đề thi bao gồm 1 trang với 5 bài toán tự luận, thời gian làm bài là 90 phút. Đặc biệt, đề thi cung cấp lời giải chi tiết để học sinh tự kiểm tra và cải thiện kỹ năng giải bài toán của mình.

Đánh giá bài viết cho thầy/cô vui 

0 / 5 0

Your page rank:

Avatar of Phan Quang
       

Về tác giả : Phan Quang

Giáo viên Toán học xuất sắc, sinh năm 1985 tại Hà Nội. Tốt nghiệp Đại học Sư phạm Hà Nội với bằng cử nhân Toán học, thầy có hơn 10 năm kinh nghiệm giảng dạy cấp 2 và ôn thi vào 10. Năm 2024, thầy sáng lập website daygioi.com – nền tảng giáo dục trực tuyến miễn phí, cung cấp bài giảng video, bài tập tương tác và tài liệu ôn tập cho hàng ngàn học sinh Việt Nam. Với phong cách dạy gần gũi, sáng tạo, thầy luôn khơi dậy niềm đam mê Toán học qua ví dụ đời thường. Được phụ huynh và học sinh yêu mến, thầy là nguồn cảm hứng cho thế hệ giáo viên trẻ.

       

Xem nhiều bài của tác giả : Phan Quang