Đề kiểm tra học kì 1 (HK1) lớp 7 môn Toán năm 2017 2018 phòng GD ĐT Vĩnh Yên Vĩnh Phúc

  • Đề HK1 Toán 7

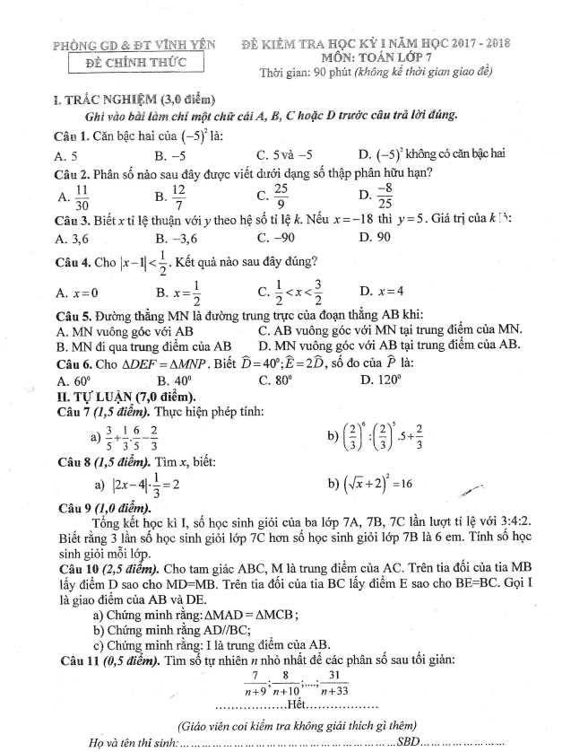
Đề kiểm tra học kỳ 1 Toán lớp 7 năm 2017 – 2018 phòng GD&ĐT Vĩnh Yên – Vĩnh Phúc

Đề kiểm tra học kỳ 1 môn Toán lớp 7 năm 2017 – 2018 của phòng GD&ĐT Vĩnh Yên – Vĩnh Phúc bao gồm 04 câu trắc nghiệm và 05 câu tự luận. Thời gian làm bài thi là 90 phút, giúp học sinh có đủ thời gian để tự tin và chủ động làm bài. Các câu hỏi được thiết kế công phu, đa dạng về mức độ khó, giúp học sinh phát triển kiến thức và kỹ năng giải toán một cách toàn diện.

Đánh giá bài viết cho thầy/cô vui 

0 / 5 0

Your page rank:

Avatar of Phan Quang
       

Về tác giả : Phan Quang

Giáo viên Toán học xuất sắc, sinh năm 1985 tại Hà Nội. Tốt nghiệp Đại học Sư phạm Hà Nội với bằng cử nhân Toán học, thầy có hơn 10 năm kinh nghiệm giảng dạy cấp 2 và ôn thi vào 10. Năm 2024, thầy sáng lập website daygioi.com – nền tảng giáo dục trực tuyến miễn phí, cung cấp bài giảng video, bài tập tương tác và tài liệu ôn tập cho hàng ngàn học sinh Việt Nam. Với phong cách dạy gần gũi, sáng tạo, thầy luôn khơi dậy niềm đam mê Toán học qua ví dụ đời thường. Được phụ huynh và học sinh yêu mến, thầy là nguồn cảm hứng cho thế hệ giáo viên trẻ.

       

Xem nhiều bài của tác giả : Phan Quang