Đề kiểm tra giữa học kỳ I lớp 9 môn Toán năm học 2017 2018 trường THCS Tân Mai Hà Nội

  • Đề giữa HK1 Toán 9

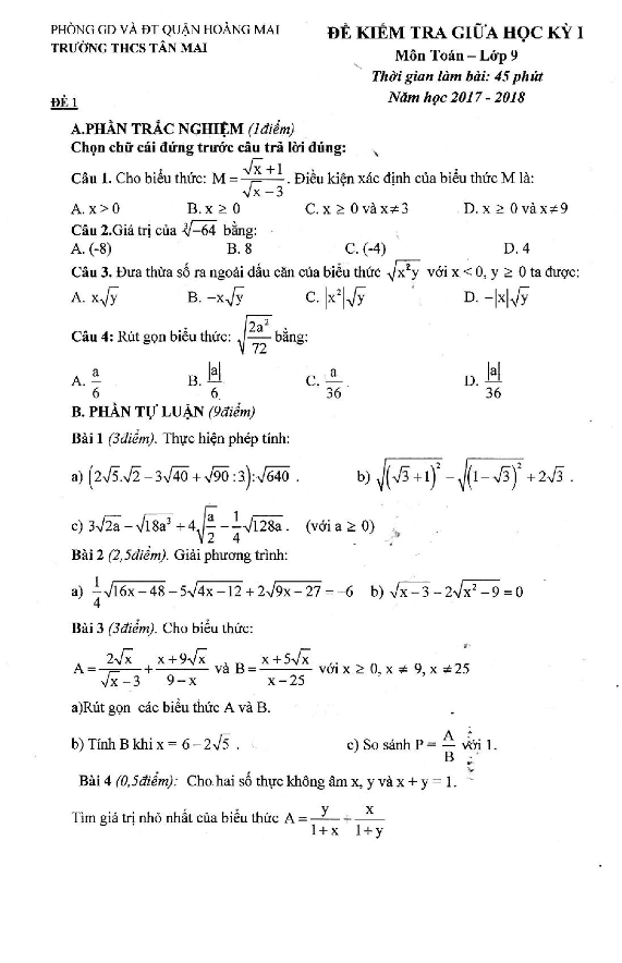
Đề kiểm tra giữa học kỳ I lớp 9 môn Toán năm học 2017 2018 trường THCS Tân Mai Hà Nội:

Đề kiểm tra giữa học kỳ I môn Toán lớp 9 năm học 2017 – 2018 trường THCS Tân Mai – Hà Nội bao gồm tổng cộng 8 câu hỏi, trong đó có 4 câu trắc nghiệm và 4 câu tự luận. Thời gian làm bài cho bài kiểm tra là 45 phút. Đề kiểm tra này được thiết kế để đánh giá kiến thức và kỹ năng của học sinh trong môn Toán ở khóa học đầu tiên của năm học. Học sinh sẽ phải làm bài trắc nghiệm để kiểm tra kiến thức cơ bản và bài tự luận để thể hiện khả năng làm bài toán và suy luận của mình.

Đánh giá bài viết cho thầy/cô vui 

0 / 5 0

Your page rank:

Avatar of Phan Quang
       

Về tác giả : Phan Quang

Giáo viên Toán học xuất sắc, sinh năm 1985 tại Hà Nội. Tốt nghiệp Đại học Sư phạm Hà Nội với bằng cử nhân Toán học, thầy có hơn 10 năm kinh nghiệm giảng dạy cấp 2 và ôn thi vào 10. Năm 2024, thầy sáng lập website daygioi.com – nền tảng giáo dục trực tuyến miễn phí, cung cấp bài giảng video, bài tập tương tác và tài liệu ôn tập cho hàng ngàn học sinh Việt Nam. Với phong cách dạy gần gũi, sáng tạo, thầy luôn khơi dậy niềm đam mê Toán học qua ví dụ đời thường. Được phụ huynh và học sinh yêu mến, thầy là nguồn cảm hứng cho thế hệ giáo viên trẻ.

       

Xem nhiều bài của tác giả : Phan Quang