Đề kiểm tra giữa học kì 2 (HK2) lớp 9 môn Toán năm 2021 2022 trường THCS Giảng Võ Hà Nội

  • Đề giữa HK2 Toán 9

Đề kiểm tra giữa học kì 2 (HK2) lớp 9 môn Toán năm 2021-2022 trường THCS Giảng Võ Hà Nội

Xin chào quý thầy cô và các em học sinh lớp 9! Hôm nay chúng ta sẽ cùng tìm hiểu đề kiểm tra giữa học kì 2 môn Toán lớp 9 năm học 2021-2022 tại trường THCS Giảng Võ, quận Ba Đình, Hà Nội. Kỳ thi sẽ diễn ra vào sáng thứ Sáu, ngày 11 tháng 03 năm 2022.

Trích dẫn đề kiểm tra giữa học kỳ 2 Toán lớp 9 năm 2021 – 2022 trường THCS Giảng Võ – Hà Nội:

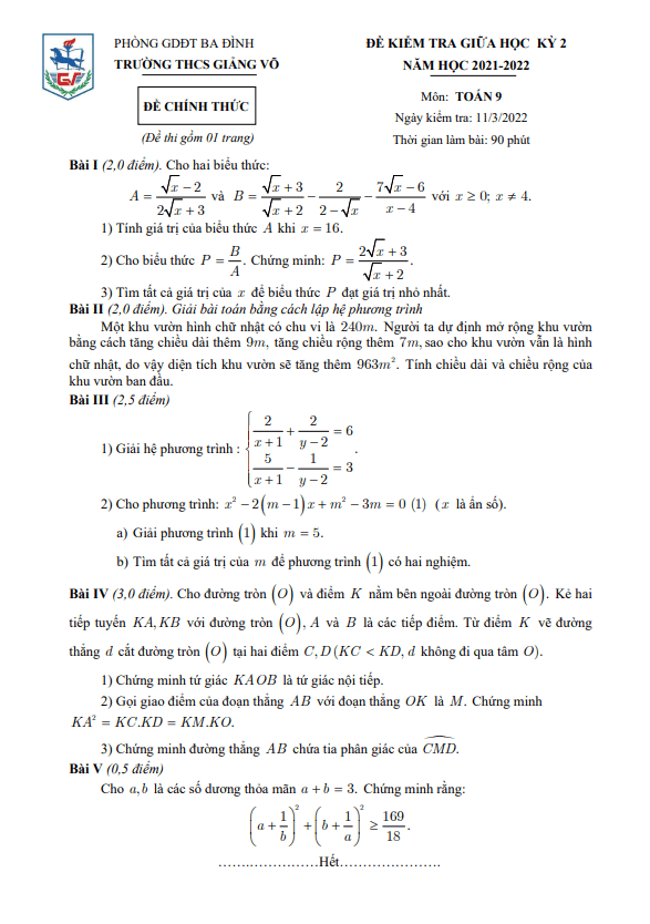
  1. Giải bài toán bằng cách lập hệ phương trình: Một khu vườn hình chữ nhật có chu vi là 240 m. Người ta dự định mở rộng khu vườn bằng cách tăng chiều dài thêm 9 m, tăng chiều rộng thêm 7 m, sao cho khu vườn vẫn là hình chữ nhật, do vậy diện tích khu vườn sẽ tăng thêm 2 963 m. Tính chiều dài và chiều rộng của khu vườn ban đầu.
  2. Cho đường tròn O và điểm K nằm bên ngoài đường tròn O. Kẻ hai tiếp tuyến KA, KB với đường tròn O, A và B là các tiếp điểm. Từ điểm K vẽ đường thẳng d cắt đường tròn O tại hai điểm C, D (d không đi qua tâm O).
    1. Chứng minh tứ giác KAOB là tứ giác nội tiếp.
    2. Gọi giao điểm của đoạn thẳng AB với đoạn thẳng OK là M. Chứng minh 2 KA = KC, KD = KM, KO.
    3. Chứng minh đường thẳng AB chứa tia phân giác của CMD.
  3. Cho phương trình: 2x^2 – mx + m^2 – 3m – 1 = 0 (x là ẩn số).
    1. Giải phương trình khi m = 5.
    2. Tìm tất cả giá trị của m để phương trình có hai nghiệm.

Hãy cố gắng giải quyết các bài toán một cách cẩn thận và chính xác nhé! Chúc các em thành công trong kỳ thi sắp tới.

Đánh giá bài viết cho thầy/cô vui 

0 / 5 0

Your page rank:

Avatar of Phan Quang
       

Về tác giả : Phan Quang

Giáo viên Toán học xuất sắc, sinh năm 1985 tại Hà Nội. Tốt nghiệp Đại học Sư phạm Hà Nội với bằng cử nhân Toán học, thầy có hơn 10 năm kinh nghiệm giảng dạy cấp 2 và ôn thi vào 10. Năm 2024, thầy sáng lập website daygioi.com – nền tảng giáo dục trực tuyến miễn phí, cung cấp bài giảng video, bài tập tương tác và tài liệu ôn tập cho hàng ngàn học sinh Việt Nam. Với phong cách dạy gần gũi, sáng tạo, thầy luôn khơi dậy niềm đam mê Toán học qua ví dụ đời thường. Được phụ huynh và học sinh yêu mến, thầy là nguồn cảm hứng cho thế hệ giáo viên trẻ.

       

Xem nhiều bài của tác giả : Phan Quang