Đề kiểm tra giữa học kì 2 (HK2) lớp 8 môn Toán năm 2021 2022 trường THCS Tây Sơn Hà Nội

  • Đề giữa HK2 Toán 8

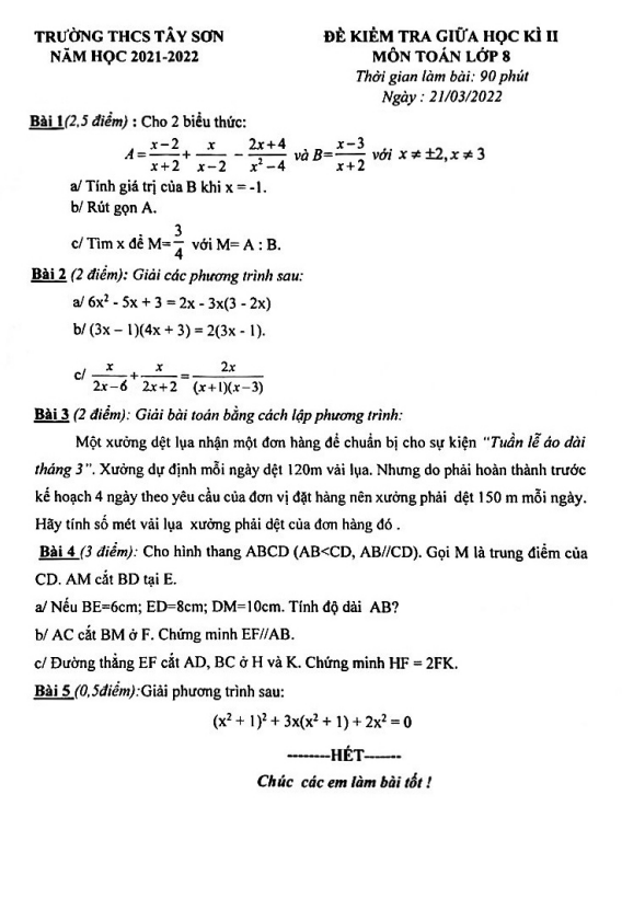
Đề kiểm tra giữa học kỳ 2 (HK2) lớp 8 môn Toán năm 2021 2022 trường THCS Tây Sơn Hà Nội

Xin chào quý thầy cô và các em học sinh lớp 8! Hôm nay chúng ta sẽ cùng nhau tìm hiểu về đề kiểm tra chất lượng giữa học kỳ 2 môn Toán lớp 8 năm học 2021 – 2022 tại trường THCS Tây Sơn, thành phố Hà Nội. Kỳ thi sẽ diễn ra vào ngày 21 tháng 03 năm 2022.

Trích dẫn đề kiểm tra giữa học kỳ 2 Toán lớp 8 năm 2021 – 2022 trường THCS Tây Sơn – Hà Nội:

1. Giải bài toán bằng cách lập phương trình: Một xưởng dệt lụa nhận một đơn hàng để chuẩn bị cho sự kiện “Tuần lễ áo dài tháng 3”. Xưởng dự định mỗi ngày dệt 120m vải lụa. Nếu cần phải hoàn thành trước kế hoạch 4 ngày theo yêu cầu của đơn vị đặt hàng, thì xưởng sẽ phải dệt bao nhiêu mét vải lụa mỗi ngày?

2. Cho hình thang ABCD (AB

3. Giải phương trình sau: … (phần này để cho bạn tự thử sức và giải đáp trong đề kiểm tra).

Chúc quý thầy cô và các em học sinh lớp 8 đạt kết quả tốt trong kỳ thi sắp tới!

Đánh giá bài viết cho thầy/cô vui 

0 / 5 0

Your page rank:

Avatar of Phan Quang
       

Về tác giả : Phan Quang

Giáo viên Toán học xuất sắc, sinh năm 1985 tại Hà Nội. Tốt nghiệp Đại học Sư phạm Hà Nội với bằng cử nhân Toán học, thầy có hơn 10 năm kinh nghiệm giảng dạy cấp 2 và ôn thi vào 10. Năm 2024, thầy sáng lập website daygioi.com – nền tảng giáo dục trực tuyến miễn phí, cung cấp bài giảng video, bài tập tương tác và tài liệu ôn tập cho hàng ngàn học sinh Việt Nam. Với phong cách dạy gần gũi, sáng tạo, thầy luôn khơi dậy niềm đam mê Toán học qua ví dụ đời thường. Được phụ huynh và học sinh yêu mến, thầy là nguồn cảm hứng cho thế hệ giáo viên trẻ.

       

Xem nhiều bài của tác giả : Phan Quang