Đề kiểm tra giữa học kì 1 (HK1) lớp 9 môn Toán năm 2023 2024 sở GD ĐT Bắc Ninh

  • Đề giữa HK1 Toán 9

Đề kiểm tra giữa học kì 1 (HK1) lớp 9 môn Toán năm 2023 2024 sở GD ĐT Bắc Ninh

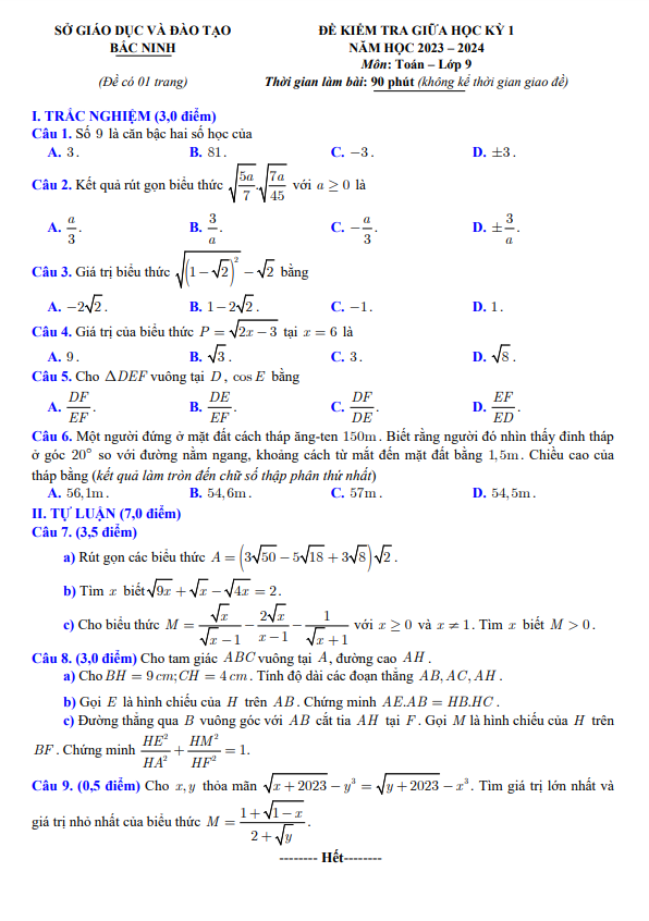
Sytu xin gửi đến các thầy cô giáo và các em học sinh lớp 9 đề kiểm tra giữa học kỳ 1 môn Toán lớp 9 năm học 2023 – 2024 sở Giáo dục và Đào tạo tỉnh Bắc Ninh. Kỳ thi sẽ diễn ra vào thứ Năm, ngày 02 tháng 11 năm 2023. Đề thi bao gồm câu hỏi trắc nghiệm và hướng dẫn chấm tự luận.

Trích dẫn một câu hỏi từ Đề kiểm tra giữa học kỳ 1 Toán lớp 9 năm 2023 – 2024 sở GD&ĐT Bắc Ninh:
Một người đứng ở mặt đất cách tháp ăng-ten 150m. Khi nhìn thấy đỉnh tháp, góc nhìn của người đó so với đường nằm ngang là 20°. Khoảng cách từ mắt đến mặt đất của người đó là 1,5m. Hỏi chiều cao của tháp là bao nhiêu (kết quả làm tròn đến chữ số thập phân thứ nhất).

Câu hỏi khác:
Tam giác ABC vuông tại A, đường cao AH. a) Biết BH = 9cm; CH = 4cm. Tính độ dài các đoạn thẳng AB, AC, AH. b) Gọi E là hình chiếu của H trên AB. Chứng minh AE.AB = HB.HC. c) Đường thẳng qua B vuông góc với AB cắt tia AH tại F. Gọi M là hình chiếu của H trên BF. Chứng minh rằng HE2/HA2 + HM2/HF2 = 1.

Đề kiểm tra sẽ giúp các em ôn tập và kiểm tra kiến thức đã học trong suốt thời gian qua. Chúc các em đạt kết quả tốt!

Đánh giá bài viết cho thầy/cô vui 

0 / 5 0

Your page rank:

Avatar of Phan Quang
       

Về tác giả : Phan Quang

Giáo viên Toán học xuất sắc, sinh năm 1985 tại Hà Nội. Tốt nghiệp Đại học Sư phạm Hà Nội với bằng cử nhân Toán học, thầy có hơn 10 năm kinh nghiệm giảng dạy cấp 2 và ôn thi vào 10. Năm 2024, thầy sáng lập website daygioi.com – nền tảng giáo dục trực tuyến miễn phí, cung cấp bài giảng video, bài tập tương tác và tài liệu ôn tập cho hàng ngàn học sinh Việt Nam. Với phong cách dạy gần gũi, sáng tạo, thầy luôn khơi dậy niềm đam mê Toán học qua ví dụ đời thường. Được phụ huynh và học sinh yêu mến, thầy là nguồn cảm hứng cho thế hệ giáo viên trẻ.

       

Xem nhiều bài của tác giả : Phan Quang