Đề kiểm tra định kỳ lớp 12 môn Toán năm 2018 2019 trường Nguyễn Khuyến TP. HCM lần 5

  • Đề khảo sát Toán 12

Đề kiểm tra định kỳ Toán lớp 12 năm 2018 – 2019 trường Nguyễn Khuyến TP. HCM lần 5

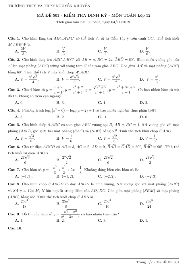
Đề kiểm tra định kỳ Toán lớp 12 năm 2018 – 2019 trường Nguyễn Khuyến TP. HCM lần 5 là bài kiểm tra được biên soạn theo hình thức trắc nghiệm khách quan với 50 câu hỏi và bài toán. Đề bao gồm 4 mã đề 501, 502, 503 để học sinh chọn lựa. Thời gian làm bài là 90 phút, và kỳ thi được tổ chức vào ngày 04/11/2018.

Các câu hỏi và bài toán trong đề chỉ giới hạn trong nội dung chương trình Toán lớp 12 đã học. Đây là một hoạt động tổ chức thường xuyên tại trường Nguyễn Khuyến, TP. HCM nhằm giúp học sinh rèn luyện kiến thức thường xuyên và nâng cao năng lực. Đồng thời, kỳ thi cũng giúp giáo viên theo dõi quá trình tiến bộ của học sinh. Đề thi cũng có đáp án để học sinh tự kiểm tra và tự đánh giá kết quả của mình.

Ví dụ về câu hỏi trong đề kiểm tra lần này bao gồm việc phân tích hàm số, tìm các giá trị thỏa mãn điều kiện, và giải các bài toán liên quan đến đồ thị hàm số. Các học sinh cần lưu ý cẩn thận và suy nghĩ logic để có thể giải quyết được các bài toán trong thời gian qui định.

Trên đây là một số thông tin về đề kiểm tra định kỳ Toán lớp 12 năm 2018 – 2019 trường Nguyễn Khuyến TP. HCM lần 5, hy vọng sẽ giúp các em học sinh chuẩn bị tốt cho kỳ thi sắp tới.

Đánh giá bài viết cho thầy/cô vui 

0 / 5 0

Your page rank:

Avatar of Phan Quang
       

Về tác giả : Phan Quang

Giáo viên Toán học xuất sắc, sinh năm 1985 tại Hà Nội. Tốt nghiệp Đại học Sư phạm Hà Nội với bằng cử nhân Toán học, thầy có hơn 10 năm kinh nghiệm giảng dạy cấp 2 và ôn thi vào 10. Năm 2024, thầy sáng lập website daygioi.com – nền tảng giáo dục trực tuyến miễn phí, cung cấp bài giảng video, bài tập tương tác và tài liệu ôn tập cho hàng ngàn học sinh Việt Nam. Với phong cách dạy gần gũi, sáng tạo, thầy luôn khơi dậy niềm đam mê Toán học qua ví dụ đời thường. Được phụ huynh và học sinh yêu mến, thầy là nguồn cảm hứng cho thế hệ giáo viên trẻ.

       

Xem nhiều bài của tác giả : Phan Quang