Đề kiểm tra định kỳ lần 1 lớp 11 môn Toán năm 2019 2020 sở GD ĐT Bắc Ninh

  • Đề HK1 Toán 11

Đề kiểm tra định kỳ lần 1 lớp 11 môn Toán năm 2019-2020 sở GD ĐT Bắc Ninh

Vào sáng thứ Ba ngày 17 tháng 12 năm 2019, Sở Giáo dục và Đào tạo tỉnh Bắc Ninh đã tổ chức kỳ thi kiểm tra định kỳ lần 1 môn Toán cho học sinh lớp 11 năm học 2019-2020. Mục đích của bài kiểm tra là để đánh giá tình hình học tập môn Toán của học sinh khối 11 trong giai đoạn học kỳ 1.

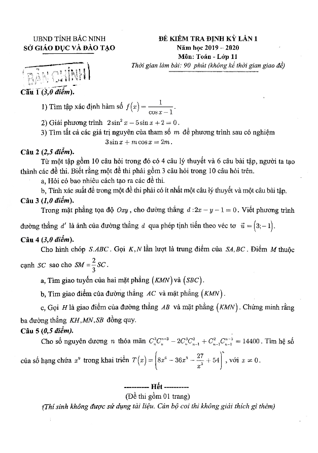
Đề kiểm tra định kỳ lần 1 môn Toán lớp 11 năm 2019-2020 tại sở GD&ĐT Bắc Ninh bao gồm 01 trang, được biên soạn dưới dạng bài tự luận với 5 bài toán. Thời gian làm bài cho học sinh trong kỳ thi là 90 phút. Đề thi đi kèm với lời giải chi tiết và hướng dẫn chấm điểm.

Trích dẫn một số đề bài trong đề kiểm tra định kỳ lần 1 môn Toán lớp 11 năm 2019-2020:

+ Một tập gồm 10 câu hỏi, trong đó có 4 câu lý thuyết và 6 câu bài tập. Hỏi có bao nhiêu cách tạo ra các đề thi có 3 câu hỏi từ tập 10 câu trên và tính xác suất để trong một đề thi phải có ít nhất một câu lý thuyết và một câu bài tập.

+ Viết phương trình của đường thẳng d’ là ảnh của đường thẳng d thông qua phép tịnh tiến theo véctơ u(3;-1) trong mặt phẳng tọa độ Oxy.

+ Hình chóp S.ABC có K, N lần lượt là trung điểm của SA, BC. Điểm M thuộc cạnh SC sao cho SM = SC. Tìm giao tuyến của hai mặt phẳng (KMN) và (SBC), tìm giao điểm của đường thẳng AC và mặt phẳng (KMN), chứng minh rằng ba đường thẳng KH, MN, SB đồng quy.

Bài kiểm tra đã giúp học sinh lớp 11 tự kiểm tra kiến thức đã học và chuẩn bị cho kỳ thi cuối kỳ thành công.

Đánh giá bài viết cho thầy/cô vui 

0 / 5 0

Your page rank:

Avatar of Phan Quang
       

Về tác giả : Phan Quang

Giáo viên Toán học xuất sắc, sinh năm 1985 tại Hà Nội. Tốt nghiệp Đại học Sư phạm Hà Nội với bằng cử nhân Toán học, thầy có hơn 10 năm kinh nghiệm giảng dạy cấp 2 và ôn thi vào 10. Năm 2024, thầy sáng lập website daygioi.com – nền tảng giáo dục trực tuyến miễn phí, cung cấp bài giảng video, bài tập tương tác và tài liệu ôn tập cho hàng ngàn học sinh Việt Nam. Với phong cách dạy gần gũi, sáng tạo, thầy luôn khơi dậy niềm đam mê Toán học qua ví dụ đời thường. Được phụ huynh và học sinh yêu mến, thầy là nguồn cảm hứng cho thế hệ giáo viên trẻ.

       

Xem nhiều bài của tác giả : Phan Quang