Đề kiểm tra cuối học kì 2 (HK2) lớp 12 môn Toán năm 2021 2022 sở GD ĐT Bắc Ninh

  • Đề HK2 Toán 12

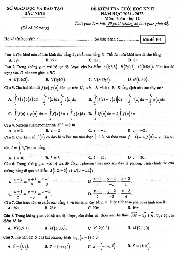
Đề kiểm tra cuối học kì 2 môn Toán lớp 12 năm 2021-2022 sở GD ĐT Bắc Ninh

Sytu xin gửi đến các thầy cô giáo và các em học sinh lớp 12 đề kiểm tra cuối học kỳ 2 môn Toán lớp 12 năm học 2021-2022 sở Giáo dục và Đào tạo tỉnh Bắc Ninh (mã đề 101). Bài kiểm tra này gồm 50 câu trắc nghiệm trải dài trên 06 trang, thời gian làm bài là 90 phút (không tính thời gian giám thị phát đề). Kỳ thi sẽ diễn ra vào thứ Năm ngày 12 tháng 05 năm 2022.

Đề kiểm tra bao gồm các bài tập đa dạng, thách thức và phong phú như:

  • Trong không gian Oxyz, với mặt phẳng (P): y – 1 = 0, đường thẳng delta và hai điểm A(-1;-3;11), B(1/2; 0;8). Tìm giá trị lớn nhất của đoạn MN với M và N thuộc (P), d(M;delta) = 2 và NA = 2NB.
  • Giải bất phương trình và xác định giá trị nguyên m để tập nghiệm chứa khoảng (1;3).
  • Tìm tọa độ trọng tâm G của tam giác ABC với A(1;3;5), B(2;0;1), C(0;9;0).

Các em hãy ôn tập và chuẩn bị tốt cho kì thi sắp tới. Chúc các em đạt kết quả cao trong bài kiểm tra này!

Đánh giá bài viết cho thầy/cô vui 

0 / 5 0

Your page rank:

Avatar of Phan Quang
       

Về tác giả : Phan Quang

Giáo viên Toán học xuất sắc, sinh năm 1985 tại Hà Nội. Tốt nghiệp Đại học Sư phạm Hà Nội với bằng cử nhân Toán học, thầy có hơn 10 năm kinh nghiệm giảng dạy cấp 2 và ôn thi vào 10. Năm 2024, thầy sáng lập website daygioi.com – nền tảng giáo dục trực tuyến miễn phí, cung cấp bài giảng video, bài tập tương tác và tài liệu ôn tập cho hàng ngàn học sinh Việt Nam. Với phong cách dạy gần gũi, sáng tạo, thầy luôn khơi dậy niềm đam mê Toán học qua ví dụ đời thường. Được phụ huynh và học sinh yêu mến, thầy là nguồn cảm hứng cho thế hệ giáo viên trẻ.

       

Xem nhiều bài của tác giả : Phan Quang