Đề kiểm tra cuối học kì 1 (HK1) lớp 9 môn Toán năm 2023 2024 sở GD ĐT Bắc Ninh

  • Đề HK1 Toán 9

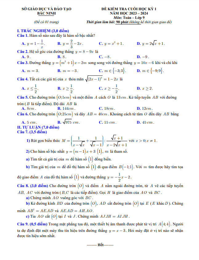
Đề kiểm tra cuối học kỳ 1 lớp 9 môn Toán năm 2023-2024

Xin chào quý thầy cô và các em học sinh lớp 9! Dưới đây là đề kiểm tra cuối học kì 1 môn Toán lớp 9 năm học 2023-2024 của sở Giáo dục và Đào tạo tỉnh Bắc Ninh. Kỳ thi sẽ diễn ra vào thứ Ba ngày 26 tháng 12 năm 2023. Đề thi bao gồm các câu hỏi trắc nghiệm và tự luận với đáp án và hướng dẫn chấm.

Trích dẫn một số câu hỏi trong đề thi:

  1. Cho hàm số bậc nhất ( y = mx + 1 ) (với m là tham số).
    • a) Tìm tất cả giá trị của m để hàm số đồng biến.
    • b) Tìm giá trị của m để đồ thị hàm số đi qua điểm B(1,1). Với giá trị m tìm được, hãy tìm tọa độ giao điểm A của đồ thị hàm số và đường thẳng ( y = 2x + 2 ).
  2. Cho đường tròn O và điểm A nằm ngoài đường tròn.
    • a) Chứng minh rằng AO vuông góc với BC (với B, C là tiếp điểm).
    • b) Kẻ đường kính BD của đường tròn O. AD cắt đường tròn O tại E (E khác D). Chứng minh ( frac{AB}{AD} = frac{AE}{AD} ) và ( frac{AE}{AD} = frac{AH}{AO} ).
    • c) Tia AO cắt đường tròn tại I, J. Chứng minh ( angle AJI = angle IHA ) và ( angle AIJ = angle JHA ).
  3. Trong mặt phẳng tọa độ, thiết bị âm thanh phát từ vị trí A(4,4). Hỏi máy thu tín hiệu được đặt ở vị trí nào để nhận tín hiệu sớm nhất trên đường thẳng ( y = x + 3 ).

Hy vọng đề thi sẽ giúp các em học sinh ôn tập và củng cố kiến thức trước kỳ thi sắp tới. Chúc các em thành công!

Đánh giá bài viết cho thầy/cô vui 

0 / 5 0

Your page rank:

Avatar of Phan Quang
       

Về tác giả : Phan Quang

Giáo viên Toán học xuất sắc, sinh năm 1985 tại Hà Nội. Tốt nghiệp Đại học Sư phạm Hà Nội với bằng cử nhân Toán học, thầy có hơn 10 năm kinh nghiệm giảng dạy cấp 2 và ôn thi vào 10. Năm 2024, thầy sáng lập website daygioi.com – nền tảng giáo dục trực tuyến miễn phí, cung cấp bài giảng video, bài tập tương tác và tài liệu ôn tập cho hàng ngàn học sinh Việt Nam. Với phong cách dạy gần gũi, sáng tạo, thầy luôn khơi dậy niềm đam mê Toán học qua ví dụ đời thường. Được phụ huynh và học sinh yêu mến, thầy là nguồn cảm hứng cho thế hệ giáo viên trẻ.

       

Xem nhiều bài của tác giả : Phan Quang