Đề kiểm tra chất lượng lớp 9 môn Toán năm 2022 2023 trường THCS Đống Đa Hà Nội

  • Đề khảo sát Toán 9

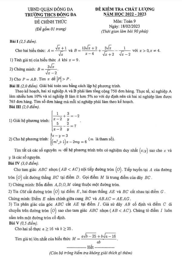
Đề kiểm tra chất lượng toán lớp 9 năm 2022-2023 trường THCS Đống Đa Hà Nội

Chúng ta hãy cùng tìm hiểu về đề kiểm tra chất lượng môn Toán lớp 9 năm 2022-2023 của trường THCS Đống Đa, Hà Nội. Kỳ thi đã được lên lịch diễn ra vào ngày thứ Bảy, ngày 18 tháng 02 năm 2023.

Trong đề thi, ta được yêu cầu giải bài toán bằng cách lập hệ phương trình: xí nghiệp A và B phải làm tổng cộng 750 đơn hàng. Tuy nhiên, thực tế A làm nhiều hơn 10% và B làm ít hơn 5% so với dự định nên tổng cộng hai xí nghiệp làm được 765 đơn hàng. Học viên cần phải tìm số đơn hàng mỗi xí nghiệp phải làm theo kế hoạch.

Ngoài ra, học viên cũng phải giải một hệ phương trình để tìm tất cả các số nguyên m để hệ phương trình có nghiệm duy nhất (x;y) với x và y là số nguyên.

Trên đề thi cũng có bài toán về tam giác và đường tròn: cho tam giác ABC nhọn nội tiếp đường tròn (O), với đã BI… (nội dung chi tiết có thể xem ở trên).

Thật thú vị và hấp dẫn khi tham gia vào bài kiểm tra chất lượng Toán lớp 9 năm học 2022-2023 của trường THCS Đống Đa, Hà Nội. Hãy cùng tập trung và nỗ lực để giải quyet các bài toán thú vị này nhé!

Đánh giá bài viết cho thầy/cô vui 

0 / 5 0

Your page rank:

Avatar of Phan Quang
       

Về tác giả : Phan Quang

Giáo viên Toán học xuất sắc, sinh năm 1985 tại Hà Nội. Tốt nghiệp Đại học Sư phạm Hà Nội với bằng cử nhân Toán học, thầy có hơn 10 năm kinh nghiệm giảng dạy cấp 2 và ôn thi vào 10. Năm 2024, thầy sáng lập website daygioi.com – nền tảng giáo dục trực tuyến miễn phí, cung cấp bài giảng video, bài tập tương tác và tài liệu ôn tập cho hàng ngàn học sinh Việt Nam. Với phong cách dạy gần gũi, sáng tạo, thầy luôn khơi dậy niềm đam mê Toán học qua ví dụ đời thường. Được phụ huynh và học sinh yêu mến, thầy là nguồn cảm hứng cho thế hệ giáo viên trẻ.

       

Xem nhiều bài của tác giả : Phan Quang